tm2523451-1_pre14a - none - 3.4218703s
UNITED STATES
SECURITIES AND EXCHANGE COMMISSION
Washington, D.C. 20549
SCHEDULE 14A
Proxy Statement Pursuant to Section 14(a) of the
Securities Exchange Act of 1934
(Amendment No.     )
Filed by the Registrant ☒
Filed by a Party other than the Registrant ☐
Check the appropriate box:

Preliminary Proxy Statement

Confidential, for Use of the Commission Only (as permitted by Rule 14a-6(e)(2))

Definitive Proxy Statement

Definitive Additional Materials

Soliciting Material Pursuant to §240.14a-12
CREATIVE MEDIA & COMMUNITY TRUST CORPORATION
(Name of Registrant as Specified In Its Charter)
   
(Name of Person(s) Filing Proxy Statement, if other than the Registrant)
Payment of Filing Fee (Check the appropriate box):

No fee required

Fee paid previously with preliminary materials.

Fee computed on table below per Exchange Act Rules 14a-6(i)(1) and 0-11.

 
PRELIMINARY PROXY STATEMENT — SUBJECT TO COMPLETION, DATED AUGUST 15, 2025
CREATIVE MEDIA & COMMUNITY TRUST CORPORATION
5956 Sherry Lane, Suite 700
Dallas, Texas 75225
[•], 2025
Dear Fellow Stockholders:
You are cordially invited to attend a special meeting of stockholders (the “Special Meeting”) of Creative Media & Community Trust Corporation, a Maryland corporation (the “Company”), to be held on September 23, 2025 at 9:00 a.m. Pacific Time. The Special Meeting will be conducted virtually, via live Internet webcast at www.virtualshareholdermeeting.com/CMCT2025SM2. For purposes of attendance at the Special Meeting, all references in this proxy statement to “present in person” or “in person” shall mean virtually present at the Special Meeting.
Details regarding the Special Meeting, the business to be conducted at the Special Meeting, and information about the Company that you should consider when you vote your shares are described in this proxy statement.
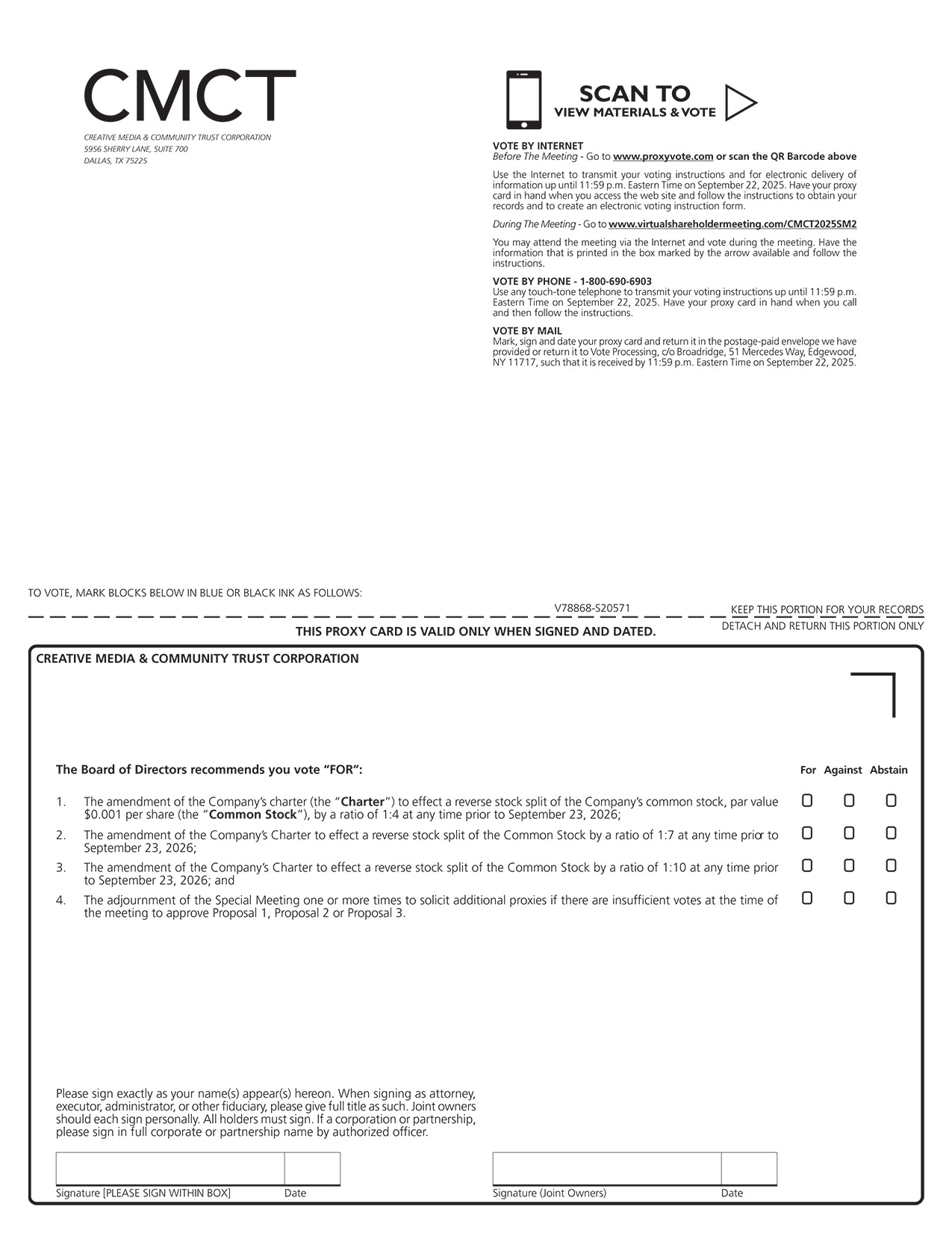
At the Special Meeting, we will ask stockholders to approve the following proposals:
1
The amendment of the Company’s charter (the “Charter”) to effect a reverse stock split of the Company’s common stock, par value $0.001 per share (the “Common Stock”), by a ratio of 1:4 at any time prior to September 23, 2026;
2
The amendment of the Company’s Charter to effect a reverse stock split of the Common Stock by a ratio of 1:7 at any time prior to September 23, 2026;
3
The amendment of the Company’s Charter to effect a reverse stock split of the Common Stock by a ratio of 1:10 at any time prior to September 23, 2026; and
4
The adjournment of the Special Meeting one or more times to solicit additional proxies if there are insufficient votes at the time of the meeting to approve Proposal 1, Proposal 2 or Proposal 3.
The Company’s Board of Directors (the “Board”) has determined that approval of the matters to be considered at the Special Meeting is in the best interests of the Company. For the reasons set forth in the proxy statement, the Board unanimously recommends a vote “FOR” each matter to be considered.
We hope you will be able to attend the Special Meeting. Whether you plan to attend the Special Meeting or not, it is important that you read this proxy statement and submit your completed proxy as soon as possible. You may authorize your proxy over the Internet, by telephone or by mail as described in the instructions set forth in this proxy statement. We encourage you to vote by proxy so that your shares will be represented and voted at the meeting, whether or not you can attend.
Your vote is very important. If you were a common stockholder of record as of the close of business on August 26, 2025, please authorize a proxy to vote your shares as soon as possible using one of the following methods to ensure that your vote is counted, regardless of whether you expect to attend the virtual Special Meeting: (1) complete, sign, date and return the enclosed proxy card in the postage-paid envelope provided or (2) as otherwise described herein. If you hold your shares in “street name” through a bank, broker or other nominee, you will need to follow the instructions provided to you by your bank, broker or other nominee regarding how to instruct your bank, broker or other nominee to vote your shares at the Special Meeting or, to the extent permitted, regarding how to vote your shares yourself at the Special Meeting. If you are a common stockholder of record and you attend the virtual Special Meeting and wish to vote at the Special Meeting, you may withdraw your proxy and vote online at the Special Meeting.
On behalf of the Board and the officers and employees of the Company, I would like to take this opportunity to thank you for your continued support.
Sincerely,
David Thompson
Chief Executive Officer
Approximate Date of Mailing of Notice of Special Meeting and Proxy Materials:
[•], 2025
 

 
CREATIVE MEDIA & COMMUNITY TRUST CORPORATION
NOTICE OF SPECIAL MEETING OF STOCKHOLDERS
TIME: 9:00 a.m., Pacific Time
DATE: September 23, 2025
PLACE: The special meeting (the “Special Meeting”) of the stockholders of Creative Media & Community Trust Corporation, a Maryland corporation (the “Company”), will be held by means of remote communication via a live webcast accessible at www.virtualshareholdermeeting.com/CMCT2025SM2. You can attend the Special Meeting online and vote your shares during the online meeting. You will also be able to participate in the Special Meeting on the day of the meeting by joining the Special Meeting at www.virtualshareholdermeeting.com/CMCT2025SM2 and entering your 16 digit control number. Electronic entry to the Special Meeting will begin 15 minutes prior to the Special Meeting at 8:45 a.m., Pacific Time, on the day of the meeting. Please have your 16 digit control available, which is found on your proxy card or voting instruction form. If you encounter any difficulties accessing the virtual meeting, please call the technical support number that will be posted on the virtual meeting page.
PURPOSES:
To consider and vote on the following matters:
1
The amendment of the Company’s charter (the “Charter”) to effect a reverse stock split of the Company’s common stock, par value $0.001 per share (the “Common Stock”), by a ratio of 1:4 at any time prior to September 23, 2026;
2
The amendment of the Charter to effect a reverse stock split of the Common Stock by a ratio of 1:7 at any time prior to September 23, 2026;
3
The amendment of the Charter to effect a reverse stock split of the Common Stock by a ratio of 1:10 at any time prior to September 23, 2026; and
4
The adjournment of the Special Meeting one or more times to solicit additional proxies if there are insufficient votes at the time of the meeting to approve Proposal 1, Proposal 2 or Proposal 3.
Pursuant to our bylaws and the Maryland General Corporation Law, only the matters set forth in this Notice of Special Meeting may be brought before the Special Meeting.
WHO MAY VOTE:
You may vote if you were the record owner of any shares of Common Stock, as of the close of business on August 26, 2025, the record date for the Special Meeting. We are first making this Proxy Statement available to our stockholders on or about [•], 2025.
YOUR VOTE IS IMPORTANT TO US. WHETHER OR NOT YOU PLAN TO ATTEND THE SPECIAL MEETING, PLEASE AUTHORIZE A PROXY TO VOTE YOUR SHARES PROMPTLY. YOU MAY AUTHORIZE YOUR PROXY OR VOTING INSTRUCTIONS OVER THE INTERNET, BY PHONE OR BY SIGNING AND DATING A PROXY CARD AND RETURNING IT TO US BY MAIL.
Sincerely,
Barry N. Berlin
Chief Financial Officer, Treasurer and Secretary
 
1

 
PRELIMINARY PROXY STATEMENT — SUBJECT TO COMPLETION, DATED AUGUST 15, 2025
CREATIVE MEDIA & COMMUNITY TRUST CORPORATION
PROXY STATEMENT FOR THE SPECIAL MEETING
General Information
This proxy statement (the “Proxy Statement”) is being furnished to the stockholders of Creative Media & Community Trust Corporation (the “Company,” “we,” “us,” and “our”) on behalf of the Board of Directors of the Company (the “Board”) in connection with the solicitation of proxies for use at the Special Meeting of Stockholders of the Company (the “Special Meeting”) to be held on September 23, 2025 at 9:00 a.m. Pacific Time, and at any adjournment or postponement thereof. The Special Meeting will be held virtually via live Internet webcast at www.virtualshareholdermeeting.com/CMCT2025SM2. Please have your 16 digit control available, which is found on your proxy card or voting instruction form.
Notice of Internet Availability of Proxy Materials
We commenced mailing to our stockholders of a paper copy of the Proxy Materials on or about [•], 2025. We sometimes refer to this Proxy Statement and the proxy card, together as the “Proxy Materials.”
We also made the Proxy Materials available over the Internet on or about [•], 2025. You may read, print and download the Proxy Materials at www.proxyvote.com.
Our stockholders of record at the close of business on the Record Date (as defined below) will receive printed Proxy Materials as well as instructions as to how to access and review all of the important information contained in the Proxy Materials electronically. It also instructs you on how you may submit your proxy by mail, over the Internet, by toll-free number, or virtually at the Special Meeting.
Questions and Answers Regarding the Special Meeting
Why did I receive these materials?
The Board is soliciting your proxy to vote at the Special Meeting, or at any postponement or adjournment thereof. Stockholders who held shares of our Common Stock (the “stockholders”) as of the close of business on the record date, August 26, 2025 (the “Record Date”), are entitled to vote at the Special Meeting. You should review the Proxy Materials carefully as they give important information about the proposals that will be voted on at the Special Meeting, as well as other important information regarding the Company.
How do I attend the Special Meeting?
Our Special Meeting will be a completely virtual meeting conducted exclusively via live webcast. The meeting will begin promptly at 9:00 a.m. Pacific Time on September 23, 2025. We encourage you to access the Special Meeting prior to the start time. Online check-in will begin 15 minutes prior to the Special Meeting at 8:45 a.m. Pacific Time, and you should allow ample time for the check-in procedures. Please have your 16 digit control available, which is found on your proxy card or voting instruction form. If you encounter any difficulties accessing the virtual-only Special Meeting platform, including any difficulties voting or submitting questions, you may call the technical support number that will be posted in the FAQ guide on the meeting site.
Who can vote at the Special Meeting?
Only holders of record of the Company’s common stock, par value $0.001 per share (the “Common Stock”), as of the close of business on the Record Date are entitled to notice of and to vote at the Special Meeting.
What is the difference between a stockholder of record and a stockholder who holds shares in “street name?”
If your shares are registered in your name, you are a stockholder of record. If your shares are held in the name of your bank, broker or other nominee, your shares are held in “street name” and you are a beneficial owner.
 
2

 
What are the voting rights of the holders of our Common Stock?
As of the Record Date, the Company had [•] shares of Common Stock outstanding. Holders of shares of our Common Stock are entitled to one vote per share on any matter that is submitted for stockholder approval. Cumulative voting is not permitted with respect to any matter to be considered at the Special Meeting.
What constitutes a quorum for the Special Meeting?
The presence, online or represented by proxy, of stockholders entitled to cast a majority of all votes entitled to be cast at the Special Meeting is necessary to constitute a quorum at the Special Meeting or any postponement or adjournment thereof. However, if a quorum is not present at the Special Meeting, the chair of the Special Meeting may adjourn the Special Meeting to a date not more than 120 days after the original record date without notice other than an announcement at the Special Meeting.
What proposals am I being asked to vote on at the Special Meeting?
At the Special Meeting, stockholders will act upon the proposals below:
Proposal 1
The amendment of the Company’s charter (the “Charter”) to effect a reverse stock split of the Common Stock by a ratio of 1:4 at any time prior to September 23, 2026 (the “1:4 Reverse Stock Split”);
Proposal 2
The amendment of the Charter to effect a reverse stock split of the Common Stock by a ratio of 1:7 at any time prior to September 23, 2026 (the “1:7 Reverse Stock Split”);
Proposal 3
The amendment of the Charter to effect a reverse stock split of the Common Stock by a ratio of 1:10 at any time prior to September 23, 2026 (the “1:10 Reverse Stock Split”); and
Proposal 4
The adjournment of the Special Meeting one or more times to solicit additional proxies if there are insufficient votes at the time of the Special Meeting to approve Proposal 1, Proposal 2 or Proposal 3.
Why are these proposals the same as those presented at the Company’s recent annual meeting of stockholders?
At the Company’s recent 2025 annual meeting of stockholders, the Company presented proposals equivalent to those contained in this Proxy Statement. While each proposal had an overwhelming approval of the votes cast (receiving a minimum approval vote of over 82% of the votes cast), these proposals narrowly failed to obtain the requisite affirmative vote of a majority of all of the votes entitled to be cast. Prior to and at the time of the meeting, the Company was informed, by its proxy solicitation firm, that the requisite votes had been obtained to pass the proposals and therefore it halted any further solicitation efforts. Had it not been for this, the Company would have continued solicitation efforts prior to the meeting and/or adjourned the Company’s 2025 annual meeting in order to solicit additional votes in favor of these proposals.
How does the Board recommend I vote on these proposals?
The Board recommends you vote:
Unless contrary instructions are indicated, all shares represented by valid proxies received pursuant to this solicitation (and which have not been revoked in accordance with the procedures set forth below) will be voted as follows:
(1)
FOR” Proposal 1;
(2)
FOR” Proposal 2;
(3)
FOR” Proposal 3; and
(4)
FOR” Proposal 4.
In the event a stockholder specifies a different choice by means of the enclosed proxy, such shares will be voted in accordance with the specification made.
 
3

 
What are the voting requirements to approve each of the proposals?
The voting requirements to approve each of the proposals to be voted upon at the Special Meeting, as well as the effects of votes against, abstentions and broker non-votes on each of the proposals, are described in the proposals.
A “broker non-vote” will occur when a nominee holding shares for a beneficial owner in “street name” does not vote on a particular proposal because the nominee does not have discretionary power with respect to that proposal and has not received instructions from the beneficial owner regarding the voting of the shares. The inspector of election for the Special Meeting shall determine the number of shares of Common Stock represented at the Special Meeting, the existence of a quorum and the validity and effect of proxies, and shall count and tabulate ballots and votes and determine the results thereof. Proxies received but marked as abstentions, as well as broker non-votes, if any, will be included in the calculation of the number of shares considered to be present at the Special Meeting for purposes of determining a quorum.
How can I vote at the Special Meeting?
You will need the 16 digit control number included on your proxy card or voting instruction form. Please go to the link provided in your proxy materials, www.virtualshareholdermeeting.com/CMCT2025SM2, and enter your 16 digit control number, which will grant you entry to the meeting and allow you to vote your shares during the live meeting.
If your shares are held in “street name” in the name of a bank, broker or other nominee, you will need to obtain a legal proxy from your bank, broker or other nominee. Once you have obtained the legal proxy, you must submit a copy of the legal proxy. Please be aware that obtaining a legal proxy may take several days.
What are the different methods I can use to vote?
Depending on how you hold your shares of Common Stock, you may generally choose to authorize a proxy to vote your shares by mail, by telephone, online or by attending and voting at the Special Meeting (as described above). The method by which you vote does not affect your right to attend the Special Meeting.
If your shares are registered directly in your name through our stock transfer agent, Computershare Trust Company, N.A., you may authorize a proxy to vote your shares:

By Mail:   Complete, sign, date, and mail the written proxy card received with this Proxy Statement.

By Telephone:   By telephone by calling the telephone number shown on your proxy card.

Online:   Prior to the Special Meeting, by submitting your proxy online at www.proxyvote.com, with your 16 digit control number, from any time beginning on [•], 2025 and ending at 11:59 p.m. Eastern Time on September 22, 2025.
If your shares are held in “street name” in the name of a bank, broker or other nominee, you may vote your shares by following the instructions that your bank, broker or other nominee provides to you, which may allow you to vote online or by mail or telephone. To vote in person at the Special Meeting, follow the instructions provided in the question above.
Can I change my vote?
Returning your proxy card will in no way limit your right to attend and vote online at the Special Meeting. Stockholders can revoke a proxy by:

giving written notice of revocation to the Secretary of the Company, which notice must be received by the Company prior to 9:00 a.m. Pacific Time on September 19, 2025;

delivering a later-dated proxy in accordance with the procedure set forth in the question below; or

attending the virtual Special Meeting and voting online as described earlier (attending the virtual Special Meeting alone will not revoke your proxy).
 
4

 
If your shares are held in an account at a bank, broker or other nominee and you desire to change your vote or vote electronically at the meeting, you should contact your bank, broker or other nominee for instructions on how to do so.
What is the deadline for voting my shares if I do not attend the Special Meeting?
If you are a holder of record of Common Stock and do not attend the Special Meeting, your proxy must be received at or before 11:59 p.m. Eastern Time on September 22, 2025, in order for your shares to be voted at the Special Meeting.
If you are a beneficial owner of Common Stock held in “street name”, please comply with the deadlines included in the voting instructions provided by the bank, broker or other nominee that holds your shares.
Could other matters be decided at the Special Meeting?
Pursuant to our bylaws (the “Bylaws”), and the Maryland General Corporation Law (the “MGCL”), only the matters set forth in the notice of special meeting may be brought before the Special Meeting.
When will the results of the vote be announced?
The preliminary voting results will be announced at the virtual Special Meeting. The final voting results will be published in a Current Report on Form 8-K filed with the Securities and Exchange Commission (the “SEC”) within four business days following the Special Meeting.
Who pays for costs relating to the Proxy Materials and Special Meeting?
The costs of preparing, assembling and mailing the Proxy Materials, along with the cost of posting the Proxy Materials on a website, are to be borne by us. In addition to the use of mail, certain of our directors, officers or employees of CIM Capital, LLC may solicit proxies personally and by telephone, facsimile and other electronic means. They will receive no compensation in addition to their regular salaries. We may request banks, brokers and other custodians, nominees and fiduciaries to forward copies of the Proxy Materials to their principals and to request authority for the execution of proxies. We may reimburse these persons for their expenses in so doing.
Will I have dissenters’ rights with respect to any of the matters to be presented at the Special Meeting?
Neither Maryland law, nor our organizational documents, provide for appraisal or other similar rights for dissenting stockholders in connection with any of the matters to be presented at the Special Meeting. Accordingly, stockholders will have no right to dissent and obtain payment for their shares.
What is the deadline for submitting a stockholder proposal or director nomination for the next annual meeting of stockholders?
Stockholders wishing to make a director nomination, or bring another proposal, before the 2026 annual meeting of stockholders (but not include it in the Company’s proxy materials for that meeting) must provide written notice of such proposal to the Corporate Secretary at the Company’s principal executive offices at 5956 Sherry Lane Suite 700, Dallas, TX 75225, Attention: Secretary. Such proposals must be received not earlier than the 150th day nor later than 5:00 p.m. Eastern Time on the 120th day prior to the first anniversary of the date of the proxy statement for the preceding year’s annual meeting. Accordingly, to be timely for the next annual meeting, we generally must receive advance notice of the nomination or proposal no earlier than January 28, 2026 and no later than 5:00 p.m. Eastern Time on February 27, 2026. Any stockholder proposal or director nomination must comply with the other provisions of the Bylaws and be submitted in writing to the Secretary of the Company at the Company’s principal executive offices.
Stockholder proposals pursuant to Rule 14a-8 under the Securities Exchange Act of 1934, as amended (the “Exchange Act”), for inclusion in the Company’s proxy statement and form of proxy for the Company’s next annual meeting of stockholders must be received at the Company’s principal executive offices and must be submitted no later than February 27, 2026.
 
5

 
In addition, stockholders who intend to solicit proxies in support of director nominees, other than the Company’s nominees, must provide notice in compliance with the universal proxy rules that sets forth the information required by Rule 14a-19 under the Exchange Act, including providing the notice required under Exchange Act Rule 14a-19(b) no later than June 2, 2026.
We have not yet determined the date of our next annual meeting of stockholders. Prior to such annual meeting, we will announce the date of the annual meeting and any dates specified above to the extent required by Rule 14a-5 under the Exchange Act.
Whom should I contact with other questions?
If you have additional questions about this Proxy Statement or the Special Meeting, or if you would like additional copies of this Proxy Statement, please contact Creative Media & Community Trust Corporation, 5956 Sherry Lane Suite 700, Dallas, TX 75225, Attention: Secretary, Telephone: (972) 349-3200.
GENERAL OVERVIEW
The purpose of Proposal 1, Proposal 2 and Proposal 3 is to maintain the listing of our Common Stock on The Nasdaq Capital Market (“Nasdaq”).
The Company’s Nasdaq Listing Deficiencies
As previously reported, the Company has previously failed to comply with Nasdaq Listing Rule 5550(a)(2), which requires us to maintain a minimum bid price per share of $1.00, such that the share price of the Common Stock does not close below $1.00 for 30 consecutive business days (the “Nasdaq Minimum Bid Price Rule”). As previously reported, after falling out of compliance with the Nasdaq Minimum Bid Price Rule, the Company had previously been eligible for and received a 180-day period to regain compliance with the Nasdaq Minimum Bid Price Rule (the “Nasdaq Compliance Grace Period”). The Company is no longer eligible for the Nasdaq Compliance Grace Period. As such, if the Company fails to maintain compliance with the Nasdaq Minimum Bid Price Rule at any time, then it could be immediately delisted from Nasdaq.
While the Company is currently in compliance with the Nasdaq Minimum Bid Price Rule, the Common Stock bid price has come under significant downward pressure since August 2024 when the Company announced its intention to redeem, and has redeemed, shares of its Series A Preferred Stock, par value $0.001 per share (“Series A Preferred Stock”) and Series A1 Preferred Stock, par value $0.001 per share (“Series A1 Preferred Stock” and, together with the Series A Preferred Stock and the Company’s Series D Preferred Stock, par value $0.001 per share (“Series D Preferred Stock”), the “Preferred Stock”) and pay the redemption price in shares of Common Stock. Holders of the Preferred Stock have the right, at each such holder’s option, to require the Company to redeem any or all of such holder’s shares of Preferred Stock at a redemption price of $25.00 per share, plus an amount equal to all accrued but unpaid dividends, if any, to and including the redemption date, subject to the terms of such Preferred Stock set forth in the Charter. This holder redemption price may be paid in cash or in shares of Common Stock (based on the VWAP of the Common Stock for the 20 trading days immediately preceding the applicable redemption date, with each such term as defined in the Charter), at the Company’s option. “VWAP” means, for any trading day, the volume-weighted average price, calculated by dividing the aggregate value of Common Stock traded on Nasdaq during regular hours (price per share multiplied by number of shares traded) by the total volume (number of shares) of Common Stock traded on Nasdaq (or such other national securities exchange or automated quotation system on which the Common Stock is listed) for such trading day, or if such volume-weighted average price is unavailable, the market value of one share of Common Stock on such trading day as determined by the Board in a commercially reasonable manner, using a volume-weighted average price method. Recently, the Company has chosen to pay such redemptions in shares of Common Stock in order to increase its common equity as a percentage of assets and improve its liquidity.
In addition, the Company has in the past exercised its right to redeem shares of Preferred Stock at its option (subject to the terms of the Preferred Stock set forth in the Charter) and pay the redemption price in shares of Common Stock, and the Company may do so again in the future.
 
6

 
We believe that the significant volume of Common Stock issued to meet redemption requests and in connection with redemptions at the Company’s option has placed significant downward pressure on the bid price of our Common Stock. If our Common Stock price declines, more shares of Common Stock are issuable under the 20-day VWAP formula, which in turn may place further downward pressure on the bid price of our Common Stock.
Purposes of the Proposals and Consequences of Not Approving Them
Proposal 1, Proposal 2 and Proposal 3 are intended to adjust the bid price of the Common Stock upward in an effort to maintain compliance with the Nasdaq Minimum Bid Price Rule. Our Board believes that each proposal is in the best interest of the Company and that each reverse stock split ratio will improve the price level of our Common Stock so that we are able to comply with the Nasdaq Minimum Bid Price Rule.
If Proposal 1, Proposal 2 and Proposal 3 are not approved by stockholders, it could result in material adverse consequences for the Company, including potential delisting from Nasdaq. If our Common Stock is delisted from Nasdaq, we may be forced to seek to have the Common Stock traded or quoted on the OTC Bulletin Board or in the “pink sheets.” Such alternatives are generally considered to be less efficient markets and not as broad as Nasdaq, and therefore less desirable. If the Company’s Common Stock is delisted from Nasdaq, the Company could face material adverse consequences, including:

a limited availability of market quotations for the Common Stock;

reduced liquidity;

a determination that the Common Stock is a “penny stock,” which will require brokers trading in the Company’s shares to adhere to more stringent rules, possibly resulting in a reduced level of trading activity in the secondary trading market for its securities;

a limited amount of news and analyst coverage for the Company;

a decreased ability to issue additional securities or obtain additional financing in the future;

potential need to register under applicable state securities or “blue sky” laws any Common Stock that is elected by the Company to be issued to redeem Preferred Stock in lieu of cash when the cash required is not available; and

if registration under applicable state securities or “blue sky” laws is not able to be accomplished in a particular state and the cash required for such redemption is not available, there may not be an ability to redeem Preferred Stock when all other criteria for redemption have been met.
Despite the efforts described above, there can be no assurance that the Company will ultimately maintain compliance with the Nasdaq Minimum Bid Price Rule.
 
7

 
Proposal 1
TO APPROVE THE AMENDMENT OF OUR CHARTER TO EFFECT THE 1:4 REVERSE STOCK SPLIT
Overview
At the Special Meeting, our stockholders will be asked to approve an amendment to our Charter to effect the 1:4 Reverse Stock Split. The 1:4 Reverse Stock Split is a consolidation of the Common Stock by a ratio of 1:4.
If the 1:4 Reverse Stock Split is approved by our stockholders, then the Company, in its discretion, may effect the 1:4 Reverse Stock Split with a ratio of 1:4 at any time prior to September 23, 2026. Our Board believes that a 1:4 Reverse Stock Split with a ratio of 1:4 is designed to maximize the anticipated benefits for the Company and its stockholders. In determining the 1:4 ratio of the 1:4 Reverse Stock Split, our Board considered, among other things, factors such as:

the historical trading price and trading volume of our Common Stock;

the then prevailing trading price and trading volume of our Common Stock and the anticipated impact of the 1:4 Reverse Stock Split on the trading market for our Common Stock;

our ability to have our Common Stock remain listed on Nasdaq, including the maintenance of the required number of shares of Common Stock registered with Nasdaq;

the anticipated impact of the 1:4 Reverse Stock Split on our ability to raise additional financing;

the potential for downward pressure on the bid price of the Common Stock caused by redemptions of Preferred Stock; and

prevailing general market and economic conditions.
If the 1:4 Reverse Stock Split is approved by our stockholders and the Company, in its sole discretion, determines to effect the 1:4 Reverse Stock Split, we will issue a press release announcing the 1:4 Effective Date (as defined below) of the 1:4 Reverse Stock Split and will file the Articles of Amendment, substantially in the form attached hereto as Appendix A (the “Proposed 1:4 Amendment”), to effect the 1:4 Reverse Stock Split. The 1:4 Reverse Stock Split will become effective upon the effective time stated in the Articles of Amendment (the “1:4 Effective Date”), after the Articles of Amendment are accepted for record by the State Department of Assessments and Taxation of Maryland (the “Maryland SDAT”). The 1:4 Effective Date shall be no later than September 23, 2026.
If each of Proposal 1, Proposal 2, and Proposal 3 are approved at the Special Meeting, the Company may elect, in its sole discretion, to implement only one of the approved proposals at any time prior to September 23, 2026 or to implement none of the proposals. Providing the Company with discretion to select the exchange ratio at which to effect a reverse stock split-based on one of the three ratios contemplated by the proposed amendments, rather than requiring approval of a single fixed ratio, affords the Company flexibility to respond to prevailing market conditions, achieve its objectives with the reverse stock split, and act in the best interests of the Company. If certain but not all of Proposal 1, Proposal 2, or Proposal 3 were to be approved at the Special Meeting, the Company may elect, in its sole discretion, to implement only one of the approved proposals at any time prior to September 23, 2026 or take no action with respect to such approved proposals.
Reasons for the 1:4 Reverse Stock Split
As previously reported, the Company has previously failed to comply with the Nasdaq Minimum Bid Price Rule. As previously reported, after falling out of compliance with the Nasdaq Minimum Bid Price Rule, the Company had previously been eligible for and received the Nasdaq Compliance Grace Period. The Company is no longer eligible for the Nasdaq Compliance Grace Period. As such, if the Company fails to maintain compliance with the Nasdaq Minimum Bid Price Rule at any time, then it could be immediately delisted from Nasdaq.
 
8

 
While the Company is currently in compliance with the Nasdaq Minimum Bid Price Rule, the Common Stock bid price has come under significant downward pressure since August 2024 when the Company announced its intention to redeem, and has redeemed, shares of its Preferred Stock and pay the redemption price in shares of Common Stock. Holders of the Preferred Stock have the right, at each such holder’s option, to require the Company to redeem any or all of such holder’s shares of Preferred Stock at a redemption price of $25.00 per share, plus an amount equal to all accrued but unpaid dividends, if any, to and including the redemption date, subject to the terms of such Preferred Stock set forth in the Charter. This holder redemption price may be paid in cash or in shares of Common Stock (based on the VWAP of the Common Stock for the 20 trading days immediately preceding the applicable redemption date, with each such term as defined in the Charter), at the Company’s option. Recently, the Company has chosen to pay such redemptions in shares of Common Stock in order to increase its common equity as a percentage of assets and improve its liquidity.
In addition, the Company has in the past exercised its right to redeem shares of Preferred Stock at its option (subject to the terms of the Preferred Stock set forth in the Charter) and pay the redemption price in shares of Common Stock, and the Company may do so again in the future.
We believe that the significant volume of Common Stock issued to meet redemption requests and in connection with redemptions at the Company’s option has placed significant downward pressure on the bid price of our Common Stock. If our Common Stock price declines, more shares of Common Stock are issuable under the 20-day VWAP formula, which in turn may place further downward pressure on the bid price of our Common Stock.
The proposed 1:4 Reverse Stock Split is intended to adjust the bid price of the Common Stock upward in an effort to maintain compliance with the Nasdaq Minimum Bid Price Rule. Our Board believes that the 1:4 Reverse Stock Split ratio of 1:4 is in the best interest of the Company and that such ratio will improve the price level of our Common Stock so that we are able to comply with the Nasdaq Minimum Bid Price Rule. However, we cannot assure you that after the 1:4 Reverse Stock Split the market price of our Common Stock will increase proportionately to reflect the ratio for the 1:4 Reverse Stock Split, that the market price of our Common Stock will not decrease to its pre-split level, that our market capitalization will be equal to the market capitalization before the 1:4 Reverse Stock Split or that we will be able to maintain our listing on Nasdaq.
Consequences of Not Approving this Proposal
If Proposal 1 is not approved by stockholders, it could result in material adverse consequences for the Company, including potential delisting from Nasdaq. If our Common Stock is delisted from Nasdaq, we may be forced to seek to have the Common Stock traded or quoted on the OTC Bulletin Board or in the “pink sheets.” Such alternatives are generally considered to be less efficient markets and not as broad as Nasdaq, and therefore less desirable. If the Company’s Common Stock is delisted from Nasdaq, the Company could face material adverse consequences, including:

a limited availability of market quotations for the Common Stock;

reduced liquidity;

a determination that the Common Stock is a “penny stock,” which will require brokers trading in the Company’s shares to adhere to more stringent rules, possibly resulting in a reduced level of trading activity in the secondary trading market for its securities;

a limited amount of news and analyst coverage for the Company;

a decreased ability to issue additional securities or obtain additional financing in the future;

potential need to register under applicable state securities or “blue sky” laws any Common Stock that is elected by the Company to be issued to redeem Preferred Stock in lieu of cash when the cash required is not available; and

if registration under applicable state securities or “blue sky” laws is not able to be accomplished in a particular state and the cash required for such redemption is not available, there may not be an ability to redeem Preferred Stock when all other criteria for redemption have been met.
 
9

 
Despite the efforts described above, there can be no assurance that the Company will ultimately maintain compliance with the Nasdaq Minimum Bid Price Rule.
Potential Adverse Effects of Approving this Proposal
We cannot assure you that the 1:4 Reverse Stock Split, if effected, will increase our stock price and have the desired effect of maintaining compliance with the Nasdaq Minimum Bid Price Rule.
The Board expects that the 1:4 Reverse Stock Split, if effected, will increase the market price of our Common Stock so that we are able to maintain compliance with the Nasdaq Minimum Bid Price Rule. However, the effect of the 1:4 Reverse Stock Split on the market price of our Common Stock cannot be predicted with any certainty, and the history of similar reverse stock splits for companies in like circumstances is varied.
It is possible that the per share price of our Common Stock after the implementation of the 1:4 Reverse Stock Split will not rise in proportion to the reduction in the number of shares of Common Stock outstanding resulting therefrom, and the market price per share after the 1:4 Reverse Stock Split may not exceed or remain in excess of $1.00 per share for a sustained period of time. Even if we effect the 1:4 Reverse Stock Split, the market price of our Common Stock may decrease due to factors unrelated to the 1:4 Reverse Stock Split, including our future financial and operating performance. If the 1:4 Reverse Stock Split is consummated and the trading price of our Common Stock declines, the percentage decline as an absolute number and as a percentage of our overall market capitalization may be greater than would occur in the absence of the 1:4 Reverse Stock Split.
The implementation of the 1:4 Reverse Stock Split may decrease the liquidity of our Common Stock.
The liquidity of our Common Stock may be harmed by the implementation of the 1:4 Reverse Stock Split, given the reduced number of shares of Common Stock that would be outstanding after the 1:4 Reverse Stock Split, particularly if the share price does not increase as a result thereof. In addition, investors might consider the increased proportion of unissued authorized capital stock to issued shares of capital stock resulting from the 1:4 Reverse Stock Split to have an anti-takeover effect under certain circumstances, because the proportion allows for dilutive issuances which could prevent certain stockholders from changing the composition of the Board or render tender offers for a combination with another entity more difficult to successfully complete. The Board does not intend for the 1:4 Reverse Stock Split to have any anti-takeover effects.
Principal Effects of the 1:4 Reverse Stock Split
Common Stock and Preferred Stock.
If the 1:4 Reverse Stock Split is approved by our stockholders at the Special Meeting and the Company, in its sole discretion, determines to effect the 1:4 Reverse Stock Split, the Company plans to issue a press release announcing the 1:4 Effective Date of the 1:4 Reverse Stock Split and will file Articles of Amendment with the Maryland SDAT substantially in the form of the Proposed 1:4 Amendment attached hereto as Appendix A to effect the 1:4 Reverse Stock Split no later than September 23, 2026. Except for adjustments that may result from the treatment of fractional shares as described below, each issued share of Common Stock immediately prior to the 1:4 Effective Date will automatically be changed, as of the 1:4 Effective Date, into a fraction of a share based on the 1:4 ratio. In addition, proportional adjustments will be made to the maximum number of shares issuable under, and other terms of, our Company’s equity incentive plan.
Except for adjustments that may result from the treatment of fractional shares of Common Stock, as described below, because the 1:4 Reverse Stock Split would apply to all issued shares of Common Stock, the implementation of the 1:4 Reverse Stock Split would not alter the relative rights and preferences of our existing stockholders nor affect any stockholder’s proportionate equity interest in the Company. For example, a holder of approximately two percent (2%) of the voting power of the outstanding Common Stock immediately prior to the effectiveness of the 1:4 Reverse Stock Split will generally continue to hold approximately two percent (2%) of the voting power of the outstanding Common Stock immediately thereafter. Moreover, the number of stockholders of record of our Common Stock will not be affected by the 1:4 Reverse Stock Split.
 
10

 
The Proposed 1:4 Amendment, if adopted, will not change the terms of our Common Stock or Preferred Stock. Upon effectiveness of the 1:4 Reverse Stock Split, the shares of Common Stock will have the same voting rights and rights to dividends and other distributions and will be identical in all other respects to the Common Stock now authorized. Following the 1:4 Reverse Stock Split, the Common Stock will remain fully paid and non-assessable.
Upon the effectiveness of the 1:4 Reverse Stock Split, the par value of our Common Stock will increase proportionately to the 1:4 ratio of the 1:4 Reverse Stock Split. However, the Board will exercise its right under Section 2-605(a)(2) of the MGCL to thereafter immediately reduce the resulting par value of the post-split Common Stock so that it will remain at $0.001 per share.
Effects on the Number of Authorized Shares.
The total number of shares of capital stock that we are authorized to issue will not be affected by the 1:4 Reverse Stock Split and will remain at one billion (1,000,000,000) shares of stock, consisting of nine hundred million (900,000,000) shares of Common Stock and one hundred million (100,000,000) shares of preferred stock, par value $0.001 per share. Although the number of authorized shares of capital stock will not change as a result of the 1:4 Reverse Stock Split, the number of shares of Common Stock issued and outstanding will be reduced in proportion to the 1:4 ratio of the 1:4 Reverse Stock Split. Thus, the 1:4 Reverse Stock Split will effectively increase the number of authorized and unissued shares of Common Stock available for future issuance by the amount of the reduction effected by the 1:4 Reverse Stock Split. The relative increase in the amount of authorized and unissued shares of Common Stock will allow for the ability to issue additional shares in connection with future financings, equity incentive plans and other desirable corporate activities without requiring our stockholders to approve an increase in the authorized number of shares of capital stock each time any such an action is contemplated. If the 1:4 Reverse Stock Split is implemented, all or any of the authorized and unissued shares of Common Stock may be issued in the future for such corporate purposes and such consideration as our Board deems advisable from time to time, subject to any limitations in our Charter, without further action by our stockholders and without first offering such shares to our stockholders.
Because our stockholders have no preemptive rights to purchase or subscribe for any of our unissued Common Stock, the future issuance of additional shares of Common Stock will reduce our current stockholders’ percentage ownership interest in the total outstanding shares of Common Stock. In the absence of a proportionate increase in our future earnings and book value, an increase in the number of outstanding shares of Common Stock would dilute our projected future earnings per share, if any, and book value per share of all our outstanding shares of Common Stock. If these factors were reflected in the market price of our Common Stock, the potential realizable value of a stockholder’s investment could be adversely affected. An issuance of additional shares could therefore have an adverse effect on the potential realizable value of a stockholder’s investment.
Listing.
Our Common Stock currently trades on Nasdaq. The implementation of the 1:4 Reverse Stock Split will directly affect the listing of our Common Stock on Nasdaq, and we believe that the 1:4 Reverse Stock Split could potentially increase our share price, facilitating compliance with the Nasdaq Minimum Bid Price Rule. Following the 1:4 Reverse Stock Split, we intend for our Common Stock to continue to be listed on Nasdaq under the symbol “CMCT,” subject to our ability to continue to comply with Nasdaq’s rules, although our Common Stock would have a new committee on uniform securities identification procedures number, a number used to identify our Common Stock.
“Public Company” Status.
Our Common Stock is currently registered under Section 12(b) of the Exchange Act, and we are subject to the “public company” periodic reporting and other requirements of the Exchange Act. The proposed 1:4 Reverse Stock Split will not affect our status as a public company or this registration under the Exchange Act. The 1:4 Reverse Stock Split is not intended to have the effect of a “going private transaction” covered by Rule 13e-3 under the Exchange Act.
 
11

 
Odd Lot Transactions.
It is likely that some of our stockholders will own “odd-lots” of less than 100 shares of Common Stock following the 1:4 Reverse Stock Split. A purchase or sale of less than 100 shares of Common Stock (an “odd lot” transaction) may result in incrementally higher trading costs through certain brokers, particularly “full service” brokers, and generally may be more difficult than a “round lot” sale. Therefore, those stockholders who own less than 100 shares following the 1:4 Reverse Stock Split may be required to pay somewhat higher transaction costs and may experience some difficulties or delays should they then determine to sell their shares.
Possible Anti-Takeover Effects.
If stockholders approve the 1:4 Reverse Stock Split and the Board implements the 1:4 Reverse Stock Split, the 1:4 Reverse Stock Split could have anti-takeover effects because it would result in a proportional increase in the number of authorized shares of capital stock relative to the number of shares of capital stock outstanding after effecting the 1:4 Reverse Stock Split. A relative increase in the number of our authorized shares of capital stock could enable the Board to render more difficult or discourage an attempt by a party attempting to obtain control of the Company by tender offer or other means.
The issuance of capital stock in a public or private sale, merger or similar transaction would increase the number of outstanding shares of capital stock entitled to vote, increase the number of votes required to approve a change of control of the Company, and dilute the interest of a party attempting to obtain control of the Company. Any such issuance could deprive stockholders of benefits that could result from an attempt to obtain control of the Company, such as the realization of a premium over the market price that the attempt could cause. Moreover, the issuance of capital stock to persons friendly to the Board could make it more difficult to remove incumbent officers and directors from office even if the change were favorable to stockholders generally. However, this anti-takeover effect is not the purpose or intent of our Board. We have no present intent to use the relative increase in the number of authorized but unissued shares of capital stock for anti-takeover purposes. The Board has no present intent to authorize the issuance of additional shares of capital stock to discourage efforts to obtain control of the Company if they were to arise.
Fractional Shares
No fractional shares of Common Stock will be issued in connection with a 1:4 Reverse Stock Split; rather, stockholders who would have otherwise been issued a fractional share of Common Stock as a result of a 1:4 Reverse Stock Split will instead receive a cash payment in lieu of such fractional share in an amount equal to the product of the fraction of a share multiplied by the closing price of the Common Stock as reported by the Nasdaq Stock Market on the 1:4 Effective Date.
U.S. Federal Income Tax Consequences
The following summary describes certain material United States federal income tax consequences of the 1:4 Reverse Stock Split to holders of our Common Stock. This summary is based on the income tax provisions of the Internal Revenue Code of 1986, as amended (the “Code”), United States Treasury regulations promulgated thereunder, administrative rulings and judicial authority, all as in effect as of the date hereof. Subsequent developments in United States federal income tax law, including changes in law or differing interpretations, which may be applied retroactively, could result in the United States federal income tax consequences of the 1:4 Reverse Stock Split differing from those discussed below.
This summary does not address all of the United States federal income tax consequences that may be relevant to holders of our Common Stock in light of their particular circumstances or to holders that may be subject to special tax rules, including, without limitation, banks, insurance companies, thrift institutions, other financial institutions, regulated investment companies, real estate investment trusts, personal holding companies, foreign entities, nonresident alien individuals, broker-dealers, S corporations, partnerships or other pass-through entities, tax-exempt organizations, United States expatriates, holders liable for the alternative minimum tax, traders in securities that elect to use a mark-to-market method of accounting, dealers in securities or currencies, holders of our Common Stock whose functional currency is not the U.S. dollar, holders that hold our Common Stock as part of a position in a “straddle” or as part of a “hedging,”
 
12

 
“conversion” or other integrated investment transaction for federal income tax purposes, persons who acquire shares of our Common Stock in connection with employment or other performance of services, holders who actually or constructively hold more than ten percent (10%) of our Common Stock, or persons that do not hold our Common Stock as “capital assets” as defined in the Code (generally, property held for investment). If a partnership (or other entity classified as a partnership for United States federal income tax purposes) is the beneficial owner of our Common Stock, the United States federal income tax treatment of a partner in the partnership will generally depend on the status of the partner and the activities of the partnership. Partnerships that hold our Common Stock, and partners in such partnerships, should consult their own tax advisors regarding the United States federal income tax consequences of the 1:4 Reverse Stock Split.
This summary does not address tax considerations under state, local, non-U.S., and non-income tax laws. Furthermore, no ruling or tax opinion of legal or tax counsel has been obtained with respect to the consequences of the 1:4 Reverse Stock Split.
TAX MATTERS ARE COMPLICATED, AND THE TAX CONSEQUENCES OF THE 1:4 REVERSE STOCK SPLIT DEPEND UPON THE PARTICULAR CIRCUMSTANCES OF EACH STOCKHOLDER. ACCORDINGLY, EACH STOCKHOLDER SHOULD CONSULT ITS OWN TAX ADVISOR REGARDING THE UNITED STATES FEDERAL, STATE, LOCAL, AND FOREIGN INCOME AND OTHER TAX CONSEQUENCES OF THE 1:4 REVERSE STOCK SPLIT.
For purposes of this discussion, a “U.S. holder” is a beneficial owner of Common Stock that is, for U.S. federal income tax purposes:

an individual citizen or resident of the United States;

a corporation (or any other entity taxable as a corporation for U.S. federal income tax purposes) created or organized in or under the laws of the United States, any state thereof or the District of Columbia;

an estate, whose income is subject to U.S. federal income tax regardless of its source; or

a trust (i) the administration of which is subject to the primary supervision of a U.S. court and that has one or more United States persons that have the authority to control all substantial decisions of the trust or (ii) that has made a valid election under applicable Treasury Regulations to be treated as a domestic trust.
A “non-U.S. holder” is, for U.S. federal income tax purposes, a beneficial owner of Common Stock that is a not a U.S. holder or a partnership for U.S. federal income tax purposes.
Tax Consequences of the 1:4 Reverse Stock Split
The 1:4 Reverse Stock Split should constitute a “recapitalization” for U.S. Federal income tax purposes. Except as described below with respect to cash received in lieu of a fractional share, U.S. holders should not recognize gain or loss as a result of the 1:4 Reverse Stock Split. A U.S. holder’s aggregate tax basis in the shares of the Common Stock received pursuant to a 1:4 Reverse Stock Split should equal the U.S. holder’s aggregate tax basis in the shares of the Common Stock surrendered (excluding any portion of such basis that is allocated to any fractional share of Common Stock), and such U.S. holder’s holding period in the shares of the Common Stock received should include the holding period of the shares of the Common Stock surrendered. Treasury regulations promulgated under the Code provide detailed rules for allocating the tax basis and holding period of shares of Common Stock surrendered pursuant to the 1:4 Reverse Stock Split to shares of Common Stock received pursuant to the 1:4 Reverse Stock Split. U.S. holders holding shares of Common Stock that were acquired on different dates and at different prices should consult their tax advisors regarding the allocation of the tax basis and holding period of such shares.
The receipt of cash in lieu of fractional shares of Common Stock pursuant to the 1:4 Reverse Stock Split will be a taxable transaction for U.S. Federal income tax purposes. A U.S. holder who receives cash in exchange for a fractional share will generally recognize gain or loss for U.S. Federal income tax purposes equal to the difference, if any, between the amount of cash received in lieu of the fractional share and the portion of the U.S. holder’s adjusted tax basis allocated to the fractional share exchanged.
 
13

 
Non-U.S. Holders
Subject to the discussion of backup withholding below, non-U.S. holders generally will not be subject to United States federal income or withholding tax on any gain or loss as a result of the 1:4 Reverse Stock Split, including with respect to cash received in lieu of a fractional share of Common Stock provided that (a) such gain or loss is not effectively connected with the conduct of a trade or business by such non-U.S. holder in the United States (or, if certain income tax treaties apply, is not attributable to a non-U.S. holder’s permanent establishment in the United States), (b) with respect to a non-U.S. holder who is an individual, such non-U.S. holder is present in the United States for less than 183 days in the taxable year of the 1:4 Reverse Stock Split and other conditions are met, and (c) such non-U.S. holder complies with certain certification requirements. If such gain is effectively connected with the non-U.S. holder’s conduct of a trade or business in the U.S., and if an applicable income tax treaty so provides, the gain is attributable to a permanent establishment or fixed base maintained by the non-U.S. holder in the United States, the non-U.S. holder will be taxed on a net income basis at the regular tax rates and in the manner applicable to U.S. holders, and if the non-U.S. holder is a corporation, an additional branch profits tax at a rate of 30%, or a lower rate as may be specified by an applicable income tax treaty, may also apply. If the non-U.S. holder is an individual present in the United States for 183 days or more in the taxable year of the 1:4 Reverse Stock Split and certain other requirements are met, the non-U.S. holder will be subject to a 30% tax (or such lower rate as may be specified by an applicable income tax treaty between the United States and such holder’s country of residence) on the net gain from the exchange of the shares of our Common Stock, which may be offset by certain U.S.-source capital losses of the non-U.S. holder, if any.
Information Reporting and Backup Withholding
Cash payments received by a holder of Common Stock pursuant to the 1:4 Reverse Stock Split may be subject to information reporting and may also be subject to backup withholding at the applicable rate specified by the U.S. Internal Revenue Service (currently 24%) if the holder fails to comply with certain certification procedures or otherwise establish an exemption from backup withholding. Backup withholding is not an additional U.S. Federal income tax. Rather, the U.S. Federal income tax liability of the person subject to backup withholding will be reduced by the amount of the tax withheld. If backup withholding results in an overpayment of taxes, a refund may be obtained provided that the required information is timely furnished to the U.S. Internal Revenue Service.
Accounting Consequences
Following the 1:4 Effective Date of the 1:4 Reverse Stock Split, if any, the net income or loss and net book value per share will be increased because there will be fewer shares outstanding. We do not anticipate that any other accounting consequences would arise as a result of the 1:4 Reverse Stock Split.
Exchange of Shares
Shares held in Book-Entry Form
The Company’s registered stockholders may hold some or all of their shares electronically in book-entry form with our transfer agent and are provided with a statement reflecting the number of shares registered in their accounts.

If you hold registered shares in book-entry form, you do not need to take any action to receive shares in registered book-entry form after the effectiveness of the 1:4 Reverse Stock Split.

A transaction statement will automatically be sent to your address of record by our transfer agent as soon as practicable after the 1:4 Effective Date indicating the number of shares that you hold.
Shares held in “Street Name”
Upon the implementation of the 1:4 Reverse Stock Split, we intend to treat stockholders holding our shares in “street name,” through a bank, broker or other nominee, in the same manner as registered stockholder whose shares are registered in their names. Banks, brokers and other nominees will be instructed to effect the 1:4 Reverse Stock Split for their beneficial holders holding our shares in “street name.”
 
14

 
However, such banks, brokers and other nominees may have different procedures than registered stockholders for processing the 1:4 Reverse Stock Split. If you hold your shares in “street name” with a bank, broker or other nominee, and if you have any questions in this regard, we encourage you to contact your bank, broker or nominee.
Appraisal Rights
Stockholders do not have appraisal rights under Maryland law or under our Charter or Bylaws in connection with the 1:4 Reverse Stock Split.
Interests of Certain Persons in this Proposal
When you consider our Board’s recommendation to vote in favor of this Proposal 1, you should be aware that certain of our directors and officers have an interest in this proposal as a result of their ownership of shares of Common Stock. However, we do not believe that our directors and officers have interests in this proposal that are different from or greater than those of any of our other stockholders.
Text of the Proposed 1:4 Amendment to the Charter
The Proposed 1:4 Amendment in Appendix A to this Proxy Statement reflects the full text of the amendment to effect the 1:4 Reverse Stock Split, which qualifies the summary in this Proposal 1. The 1:4 Reverse Stock Split will become effective upon the filing and effectiveness of Articles of Amendment with the Maryland SDAT. Stockholders are urged to read the actual text of Appendix A. To the extent there is a conflict between this summary and the text of the Proposed 1:4 Amendment in Appendix A, the terms set forth in Appendix A govern.
Required Vote
The affirmative vote of a majority of all of the votes entitled to be cast on this Proposal 1 is required to approve Proposal 1. For purposes of the vote on this Proposal 1, abstentions and broker non-votes will be considered present for the purpose of determining the presence of a quorum. However, if you do not instruct your broker how to vote on this proposal and your broker does not vote those shares, your shares will be treated as broker non-votes. Abstentions, broker non-votes and other shares not voted will have the same effect as votes “against” this Proposal 1. Stockholders may vote “FOR,” “AGAINST,” or “ABSTAIN” with respect to this Proposal 1.
We expect this Proposal 1 will be considered a routine matter under applicable stock exchange rules. Accordingly, without specific instructions from you, your bank, broker or other nominee will have discretionary authority to vote your shares on this Proposal 1. However, we understand that certain brokerage firms have elected not to vote even on “routine” matters without your voting instructions. If your bank, broker or other nominee has made this decision, and you do not provide voting instructions, your vote will not be cast. Accordingly, we urge you to direct your bank, broker or other nominee how to vote by returning your voting materials as instructed or by obtaining a proxy from your broker or other nominee in order to vote your shares in person at the Special Meeting. Broker non-votes will have the same effect as votes “AGAINST” this Proposal 1.
THE BOARD UNANIMOUSLY RECOMMENDS THAT STOCKHOLDERS VOTE “FOR” THE APPROVAL OF THIS PROPOSAL 1.
 
15

 
Proposal 2
TO APPROVE THE AMENDMENT OF OUR CHARTER TO EFFECT THE 1:7 REVERSE STOCK SPLIT
Overview
At the Special Meeting, our stockholders will be asked to approve an amendment to our Charter to effect the 1:7 Reverse Stock Split. The 1:7 Reverse Stock Split is a consolidation of the Common Stock by a ratio of 1:7.
If the 1:7 Reverse Stock Split is approved by our stockholders, then the Company, in its discretion, may effect the 1:7 Reverse Stock Split with a ratio of 1:7 at any time prior to September 23, 2026. Our Board believes that a 1:7 Reverse Stock Split with a ratio of 1:7 is designed to maximize the anticipated benefits for the Company and its stockholders. In determining the 1:7 ratio of the 1:7 Reverse Stock Split, our Board considered, among other things, factors such as:

the historical trading price and trading volume of our Common Stock;

the then prevailing trading price and trading volume of our Common Stock and the anticipated impact of the 1:7 Reverse Stock Split on the trading market for our Common Stock;

our ability to have our Common Stock remain listed on Nasdaq, including the maintenance of the required number of shares of Common Stock registered with Nasdaq;

the anticipated impact of the 1:7 Reverse Stock Split on our ability to raise additional financing;

the potential for downward pressure on the bid price of the Common Stock caused by redemptions of Preferred Stock; and

prevailing general market and economic conditions.
If the 1:7 Reverse Stock Split is approved by our stockholders and the Company, in its sole discretion, determines to effect the 1:7 Reverse Stock Split, we will issue a press release announcing the 1:7 Effective Date (as defined below) of the 1:7 Reverse Stock Split and will file the Articles of Amendment, substantially in the form attached hereto as Appendix B (the “Proposed 1:7 Amendment”), to effect the 1:7 Reverse Stock Split. The 1:7 Reverse Stock Split will become effective upon the effective time stated in the Articles of Amendment (the “1:7 Effective Date”), after the Articles of Amendment are accepted for record by the Maryland SDAT. The 1:7 Effective Date shall be no later than September 23, 2026.
If each of Proposal 1, Proposal 2, and Proposal 3 are approved at the Special Meeting, the Company may elect, in its sole discretion, to implement only one of the approved proposals at any time prior to September 23, 2026 or to implement none of the proposals. Providing the Company with discretion to select the exchange ratio at which to effect a reverse stock split-based on one of the three ratios contemplated by the proposed amendments, rather than requiring approval of a single fixed ratio, affords the Company flexibility to respond to prevailing market conditions, achieve its objectives with the reverse stock split, and act in the best interests of the Company. If certain but not all of Proposal 1, Proposal 2, or Proposal 3 were to be approved at the Special Meeting, the Company may elect, in its sole discretion, to implement only one of the approved proposals at any time prior to September 23, 2026 or take no action with respect to such approved proposals.
Reasons for the 1:7 Reverse Stock Split
As previously reported, the Company has previously failed to comply with the Nasdaq Minimum Bid Price Rule. As previously reported, after falling out of compliance with the Nasdaq Minimum Bid Price Rule, the Company had previously been eligible for and received the Nasdaq Compliance Grace Period. The Company is no longer eligible for the Nasdaq Compliance Grace Period. As such, if the Company fails to maintain compliance with the Nasdaq Minimum Bid Price Rule at any time, then it could be immediately delisted from Nasdaq.
While the Company is currently in compliance with the Nasdaq Minimum Bid Price Rule, the Common Stock bid price has come under significant downward pressure since August 2024 when the Company
 
16

 
announced its intention to redeem, and has redeemed, shares of its Preferred Stock and pay the redemption price in shares of Common Stock. Holders of the Preferred Stock have the right, at each such holder’s option, to require the Company to redeem any or all of such holder’s shares of Preferred Stock at a redemption price of $25.00 per share, plus an amount equal to all accrued but unpaid dividends, if any, to and including the redemption date, subject to the terms of such Preferred Stock set forth in the Charter. This holder redemption price may be paid in cash or in shares of Common Stock (based on the VWAP of the Common Stock for the 20 trading days immediately preceding the applicable redemption date, with each such term as defined in the Charter), at the Company’s option. Recently, the Company has chosen to pay such redemptions in shares of Common Stock in order to increase its common equity as a percentage of assets and improve its liquidity.
In addition, the Company has in the past exercised its right to redeem shares of Preferred Stock at its option (subject to the terms of the Preferred Stock set forth in the Charter) and pay the redemption price in shares of Common Stock, and the Company may do so again in the future.
We believe that the significant volume of Common Stock issued to meet redemption requests and in connection with redemptions at the Company’s option has placed significant downward pressure on the bid price of our Common Stock. If our Common Stock price declines, more shares of Common Stock are issuable under the 20-day VWAP formula, which in turn may place further downward pressure on the bid price of our Common Stock.
The proposed 1:7 Reverse Stock Split is intended to adjust the bid price of the Common Stock upward in an effort to maintain compliance with the Nasdaq Minimum Bid Price Rule. Our Board believes that the 1:7 Reverse Stock Split ratio of 1:7 is in the best interest of the Company and that such ratio will improve the price level of our Common Stock so that we are able to comply with the Nasdaq Minimum Bid Price Rule. However, we cannot assure you that after the 1:7 Reverse Stock Split the market price of our Common Stock will increase proportionately to reflect the ratio for the 1:7 Reverse Stock Split, that the market price of our Common Stock will not decrease to its pre-split level, that our market capitalization will be equal to the market capitalization before the 1:7 Reverse Stock Split or that we will be able to maintain our listing on Nasdaq.
Consequences of Not Approving this Proposal
If Proposal 2 is not approved by stockholders, it could result in material adverse consequences for the Company, including potential delisting from Nasdaq. If our Common Stock is delisted from Nasdaq, we may be forced to seek to have the Common Stock traded or quoted on the OTC Bulletin Board or in the “pink sheets.” Such alternatives are generally considered to be less efficient markets and not as broad as Nasdaq, and therefore less desirable. If the Company’s Common Stock is delisted from Nasdaq, the Company could face material adverse consequences, including:

a limited availability of market quotations for the Common Stock;

reduced liquidity;

a determination that the Common Stock is a “penny stock,” which will require brokers trading in the Company’s shares to adhere to more stringent rules, possibly resulting in a reduced level of trading activity in the secondary trading market for its securities;

a limited amount of news and analyst coverage for the Company;

a decreased ability to issue additional securities or obtain additional financing in the future;

potential need to register under applicable state securities or “blue sky” laws any Common Stock that is elected by the Company to be issued to redeem Preferred Stock in lieu of cash when the cash required is not available; and

if registration under applicable state securities or “blue sky” laws is not able to be accomplished in a particular state and the cash required for such redemption is not available, there may not be an ability to redeem Preferred Stock when all other criteria for redemption have been met.
 
17

 
Despite the efforts described above, there can be no assurance that the Company will ultimately maintain compliance with the Nasdaq Minimum Bid Price Rule.
Potential Adverse Effects of Approving this Proposal
We cannot assure you that the 1:7 Reverse Stock Split, if effected, will increase our stock price and have the desired effect of maintaining compliance with the Nasdaq Minimum Bid Price Rule.
The Board expects that the 1:7 Reverse Stock Split, if effected, will increase the market price of our Common Stock so that we are able to maintain compliance with the Nasdaq Minimum Bid Price Rule. However, the effect of the 1:7 Reverse Stock Split on the market price of our Common Stock cannot be predicted with any certainty, and the history of similar reverse stock splits for companies in like circumstances is varied.
It is possible that the per share price of our Common Stock after the implementation of the 1:7 Reverse Stock Split will not rise in proportion to the reduction in the number of shares of Common Stock outstanding resulting therefrom, and the market price per share after the 1:7 Reverse Stock Split may not exceed or remain in excess of $1.00 per share for a sustained period of time. Even if we effect the 1:7 Reverse Stock Split, the market price of our Common Stock may decrease due to factors unrelated to the 1:7 Reverse Stock Split, including our future financial and operating performance. If the 1:7 Reverse Stock Split is consummated and the trading price of our Common Stock declines, the percentage decline as an absolute number and as a percentage of our overall market capitalization may be greater than would occur in the absence of the 1:7 Reverse Stock Split.
The implementation of the 1:7 Reverse Stock Split may decrease the liquidity of our Common Stock.
The liquidity of our Common Stock may be harmed by the implementation of the 1:7 Reverse Stock Split, given the reduced number of shares of Common Stock that would be outstanding after the 1:7 Reverse Stock Split, particularly if the share price does not increase as a result thereof. In addition, investors might consider the increased proportion of unissued authorized capital stock to issued shares of capital stock resulting from the 1:7 Reverse Stock Split to have an anti-takeover effect under certain circumstances, because the proportion allows for dilutive issuances which could prevent certain stockholders from changing the composition of the Board or render tender offers for a combination with another entity more difficult to successfully complete. The Board does not intend for the 1:7 Reverse Stock Split to have any anti-takeover effects.
Principal Effects of the 1:7 Reverse Stock Split
Common Stock and Preferred Stock.
If the 1:7 Reverse Stock Split is approved by our stockholders at the Special Meeting and the Company, in its sole discretion, determines to effect the 1:7 Reverse Stock Split, the Company plans to issue a press release announcing the 1:7 Effective Date of the 1:7 Reverse Stock Split and will file Articles of Amendment with the Maryland SDAT substantially in the form of the Proposed 1:7 Amendment attached hereto as Appendix B to effect the 1:7 Reverse Stock Split no later than September 23, 2026. Except for adjustments that may result from the treatment of fractional shares as described below, each issued share of Common Stock immediately prior to the 1:7 Effective Date will automatically be changed, as of the 1:7 Effective Date, into a fraction of a share based on the 1:7 ratio. In addition, proportional adjustments will be made to the maximum number of shares issuable under, and other terms of, our Company’s equity incentive plan.
Except for adjustments that may result from the treatment of fractional shares of Common Stock, as described below, because the 1:7 Reverse Stock Split would apply to all issued shares of Common Stock, the implementation of the 1:7 Reverse Stock Split would not alter the relative rights and preferences of our existing stockholders nor affect any stockholder’s proportionate equity interest in the Company. For example, a holder of approximately two percent (2%) of the voting power of the outstanding Common Stock immediately prior to the effectiveness of the 1:7 Reverse Stock Split will generally continue to hold approximately two percent (2%) of the voting power of the outstanding Common Stock immediately thereafter. Moreover, the number of stockholders of record of our Common Stock will not be affected by the 1:7 Reverse Stock Split.
 
18

 
The Proposed 1:7 Amendment, if adopted, will not change the terms of our Common Stock or Preferred Stock. Upon effectiveness of the 1:7 Reverse Stock Split, the shares of Common Stock will have the same voting rights and rights to dividends and other distributions and will be identical in all other respects to the Common Stock now authorized. Following the 1:7 Reverse Stock Split, the Common Stock will remain fully paid and non-assessable.
Upon the effectiveness of the 1:7 Reverse Stock Split, the par value of our Common Stock will increase proportionately to the 1:7 ratio of the 1:7 Reverse Stock Split. However, the Board will exercise its right under Section 2-605(a)(2) of the MGCL to thereafter immediately reduce the resulting par value of the post-split Common Stock so that it will remain at $0.001 per share.
Effects on the Number of Authorized Shares.
The total number of shares of capital stock that we are authorized to issue will not be affected by the 1:7 Reverse Stock Split and will remain at one billion (1,000,000,000) shares of stock, consisting of nine hundred million (900,000,000) shares of Common Stock and one hundred million (100,000,000) shares of Preferred Stock. Although the number of authorized shares of capital stock will not change as a result of the 1:7 Reverse Stock Split, the number of shares of Common Stock issued and outstanding will be reduced in proportion to the 1:7 ratio of the 1:7 Reverse Stock Split. Thus, the 1:7 Reverse Stock Split will effectively increase the number of authorized and unissued shares of Common Stock available for future issuance by the amount of the reduction effected by the 1:7 Reverse Stock Split. The relative increase in the amount of authorized and unissued shares of Common Stock will allow for the ability to issue additional shares in connection with future financings, equity incentive plans and other desirable corporate activities without requiring our stockholders to approve an increase in the authorized number of shares of capital stock each time any such an action is contemplated. If the 1:7 Reverse Stock Split is implemented, all or any of the authorized and unissued shares of Common Stock may be issued in the future for such corporate purposes and such consideration as our Board deems advisable from time to time, subject to any limitations in our Charter, without further action by our stockholders and without first offering such shares to our stockholders.
Because our stockholders have no preemptive rights to purchase or subscribe for any of our unissued Common Stock, the future issuance of additional shares of Common Stock will reduce our current stockholders’ percentage ownership interest in the total outstanding shares of Common Stock. In the absence of a proportionate increase in our future earnings and book value, an increase in the number of outstanding shares of Common Stock would dilute our projected future earnings per share, if any, and book value per share of all our outstanding shares of Common Stock. If these factors were reflected in the market price of our Common Stock, the potential realizable value of a stockholder’s investment could be adversely affected. An issuance of additional shares could therefore have an adverse effect on the potential realizable value of a stockholder’s investment.
Listing.
Our Common Stock currently trades on Nasdaq. The implementation of the 1:7 Reverse Stock Split will directly affect the listing of our Common Stock on Nasdaq, and we believe that the 1:7 Reverse Stock Split could potentially increase our share price, facilitating compliance with the Nasdaq Minimum Bid Price Rule. Following the 1:7 Reverse Stock Split, we intend for our Common Stock to continue to be listed on Nasdaq under the symbol “CMCT,” subject to our ability to continue to comply with Nasdaq’s rules, although our Common Stock would have a new committee on uniform securities identification procedures number, a number used to identify our Common Stock.
“Public Company” Status.
Our Common Stock is currently registered under Section 12(b) of the Exchange Act, and we are subject to the “public company” periodic reporting and other requirements of the Exchange Act. The proposed 1:7 Reverse Stock Split will not affect our status as a public company or this registration under the Exchange Act. The 1:7 Reverse Stock Split is not intended to have the effect of a “going private transaction” covered by Rule 13e-3 under the Exchange Act.
 
19

 
Odd Lot Transactions.
It is likely that some of our stockholders will own “odd-lots” of less than 100 shares of Common Stock following the 1:7 Reverse Stock Split. A purchase or sale of less than 100 shares of Common Stock (an “odd lot” transaction) may result in incrementally higher trading costs through certain brokers, particularly “full service” brokers, and generally may be more difficult than a “round lot” sale. Therefore, those stockholders who own less than 100 shares following the 1:7 Reverse Stock Split may be required to pay somewhat higher transaction costs and may experience some difficulties or delays should they then determine to sell their shares.
Possible Anti-Takeover Effects.
If stockholders approve the 1:7 Reverse Stock Split and the Board implements the 1:7 Reverse Stock Split, the 1:7 Reverse Stock Split could have anti-takeover effects because it would result in a proportional increase in the number of authorized shares of capital stock relative to the number of shares of capital stock outstanding after effecting the 1:7 Reverse Stock Split. A relative increase in the number of our authorized shares of capital stock could enable the Board to render more difficult or discourage an attempt by a party attempting to obtain control of the Company by tender offer or other means.
The issuance of capital stock in a public or private sale, merger or similar transaction would increase the number of outstanding shares of capital stock entitled to vote, increase the number of votes required to approve a change of control of the Company, and dilute the interest of a party attempting to obtain control of the Company. Any such issuance could deprive stockholders of benefits that could result from an attempt to obtain control of the Company, such as the realization of a premium over the market price that the attempt could cause. Moreover, the issuance of capital stock to persons friendly to the Board could make it more difficult to remove incumbent officers and directors from office even if the change were favorable to stockholders generally. However, this anti-takeover effect is not the purpose or intent of our Board. We have no present intent to use the relative increase in the number of authorized but unissued shares of capital stock for anti-takeover purposes. The Board has no present intent to authorize the issuance of additional shares of capital stock to discourage efforts to obtain control of the Company if they were to arise.
Fractional Shares
No fractional shares of Common Stock will be issued in connection with a 1:7 Reverse Stock Split; rather, stockholders who would have otherwise been issued a fractional share of Common Stock as a result of a 1:7 Reverse Stock Split will instead receive a cash payment in lieu of such fractional share in an amount equal to the product of the fraction of a share multiplied by the closing price of the Common Stock as reported by the Nasdaq Stock Market on the 1:7 Effective Date.
U.S. Federal Income Tax Consequences
The following summary describes certain material United States federal income tax consequences of the 1:7 Reverse Stock Split to holders of our Common Stock. This summary is based on the income tax provisions of the Code, United States Treasury regulations promulgated thereunder, administrative rulings and judicial authority, all as in effect as of the date hereof. Subsequent developments in United States federal income tax law, including changes in law or differing interpretations, which may be applied retroactively, could result in the United States federal income tax consequences of the 1:7 Reverse Stock Split differing from those discussed below.
This summary does not address all of the United States federal income tax consequences that may be relevant to holders of our Common Stock in light of their particular circumstances or to holders that may be subject to special tax rules, including, without limitation, banks, insurance companies, thrift institutions, other financial institutions, regulated investment companies, real estate investment trusts, personal holding companies, foreign entities, nonresident alien individuals, broker-dealers, S corporations, partnerships or other pass-through entities, tax-exempt organizations, United States expatriates, holders liable for the alternative minimum tax, traders in securities that elect to use a mark-to-market method of accounting, dealers in securities or currencies, holders of our Common Stock whose functional currency is not the U.S. dollar, holders that hold our Common Stock as part of a position in a “straddle” or as part of a “hedging,”
 
20

 
“conversion” or other integrated investment transaction for federal income tax purposes, persons who acquire shares of our Common Stock in connection with employment or other performance of services, holders who actually or constructively hold more than ten percent (10%) of our Common Stock, or persons that do not hold our Common Stock as “capital assets” as defined in the Code (generally, property held for investment). If a partnership (or other entity classified as a partnership for United States federal income tax purposes) is the beneficial owner of our Common Stock, the United States federal income tax treatment of a partner in the partnership will generally depend on the status of the partner and the activities of the partnership. Partnerships that hold our Common Stock, and partners in such partnerships, should consult their own tax advisors regarding the United States federal income tax consequences of the 1:7 Reverse Stock Split.
This summary does not address tax considerations under state, local, non-U.S., and non-income tax laws. Furthermore, no ruling or tax opinion of legal or tax counsel has been obtained with respect to the consequences of the 1:7 Reverse Stock Split.
TAX MATTERS ARE COMPLICATED, AND THE TAX CONSEQUENCES OF THE 1:7 REVERSE STOCK SPLIT DEPEND UPON THE PARTICULAR CIRCUMSTANCES OF EACH STOCKHOLDER. ACCORDINGLY, EACH STOCKHOLDER SHOULD CONSULT ITS OWN TAX ADVISOR REGARDING THE UNITED STATES FEDERAL, STATE, LOCAL, AND FOREIGN INCOME AND OTHER TAX CONSEQUENCES OF THE 1:7 REVERSE STOCK SPLIT.
For purposes of this discussion, a “U.S. holder” is a beneficial owner of Common Stock that is, for U.S. federal income tax purposes:

an individual citizen or resident of the United States;

a corporation (or any other entity taxable as a corporation for U.S. federal income tax purposes) created or organized in or under the laws of the United States, any state thereof or the District of Columbia;

an estate, whose income is subject to U.S. federal income tax regardless of its source; or

a trust (i) the administration of which is subject to the primary supervision of a U.S. court and that has one or more United States persons that have the authority to control all substantial decisions of the trust or (ii) that has made a valid election under applicable Treasury Regulations to be treated as a domestic trust.
A “non-U.S. holder” is, for U.S. federal income tax purposes, a beneficial owner of Common Stock that is a not a U.S. holder or a partnership for U.S. federal income tax purposes.
Tax Consequences of the 1:7 Reverse Stock Split
The 1:7 Reverse Stock Split should constitute a “recapitalization” for U.S. Federal income tax purposes. Except as described below with respect to cash received in lieu of a fractional share, U.S. holders should not recognize gain or loss as a result of the 1:7 Reverse Stock Split. A U.S. holder’s aggregate tax basis in the shares of the Common Stock received pursuant to a 1:7 Reverse Stock Split should equal the U.S. holder’s aggregate tax basis in the shares of the Common Stock surrendered (excluding any portion of such basis that is allocated to any fractional share of Common Stock), and such U.S. holder’s holding period in the shares of the Common Stock received should include the holding period of the shares of the Common Stock surrendered. Treasury regulations promulgated under the Code provide detailed rules for allocating the tax basis and holding period of shares of Common Stock surrendered pursuant to the 1:7 Reverse Stock Split to shares of Common Stock received pursuant to the 1:7 Reverse Stock Split. U.S. holders holding shares of Common Stock that were acquired on different dates and at different prices should consult their tax advisors regarding the allocation of the tax basis and holding period of such shares.
The receipt of cash in lieu of fractional shares of Common Stock pursuant to the 1:7 Reverse Stock Split will be a taxable transaction for U.S. Federal income tax purposes. A U.S. holder who receives cash in exchange for a fractional share will generally recognize gain or loss for U.S. Federal income tax purposes equal to the difference, if any, between the amount of cash received in lieu of the fractional share and the portion of the U.S. holder’s adjusted tax basis allocated to the fractional share exchanged.
 
21

 
Non-U.S. Holders
Subject to the discussion of backup withholding below, non-U.S. holders generally will not be subject to United States federal income or withholding tax on any gain or loss as a result of the 1:7 Reverse Stock Split, including with respect to cash received in lieu of a fractional share of Common Stock provided that (a) such gain or loss is not effectively connected with the conduct of a trade or business by such non-U.S. holder in the United States (or, if certain income tax treaties apply, is not attributable to a non-U.S. holder’s permanent establishment in the United States), (b) with respect to a non-U.S. holder who is an individual, such non-U.S. holder is present in the United States for less than 183 days in the taxable year of the 1:7 Reverse Stock Split and other conditions are met, and (c) such non-U.S. holder complies with certain certification requirements. If such gain is effectively connected with the non-U.S. holder’s conduct of a trade or business in the U.S., and if an applicable income tax treaty so provides, the gain is attributable to a permanent establishment or fixed base maintained by the non-U.S. holder in the United States, the non-U.S. holder will be taxed on a net income basis at the regular tax rates and in the manner applicable to U.S. holders, and if the non-U.S. holder is a corporation, an additional branch profits tax at a rate of 30%, or a lower rate as may be specified by an applicable income tax treaty, may also apply. If the non-U.S. holder is an individual present in the United States for 183 days or more in the taxable year of the 1:7 Reverse Stock Split and certain other requirements are met, the non-U.S. holder will be subject to a 30% tax (or such lower rate as may be specified by an applicable income tax treaty between the United States and such holder’s country of residence) on the net gain from the exchange of the shares of our Common Stock, which may be offset by certain U.S.-source capital losses of the non-U.S. holder, if any.
Information Reporting and Backup Withholding
Cash payments received by a holder of Common Stock pursuant to the 1:7 Reverse Stock Split may be subject to information reporting and may also be subject to backup withholding at the applicable rate specified by the U.S. Internal Revenue Service (currently 24%) if the holder fails to comply with certain certification procedures or otherwise establish an exemption from backup withholding. Backup withholding is not an additional U.S. Federal income tax. Rather, the U.S. Federal income tax liability of the person subject to backup withholding will be reduced by the amount of the tax withheld. If backup withholding results in an overpayment of taxes, a refund may be obtained provided that the required information is timely furnished to the U.S. Internal Revenue Service.
Accounting Consequences
Following the 1:7 Effective Date of the 1:7 Reverse Stock Split, if any, the net income or loss and net book value per share will be increased because there will be fewer shares outstanding. We do not anticipate that any other accounting consequences would arise as a result of the 1:7 Reverse Stock Split.
Exchange of Shares
Shares held in Book-Entry Form
The Company’s registered stockholders may hold some or all of their shares electronically in book-entry form with our transfer agent and are provided with a statement reflecting the number of shares registered in their accounts.

If you hold registered shares in book-entry form, you do not need to take any action to receive shares in registered book-entry form after the effectiveness of the 1:7 Reverse Stock Split.

A transaction statement will automatically be sent to your address of record by our transfer agent as soon as practicable after the 1:7 Effective Date indicating the number of shares that you hold.
Shares held in “Street Name”
Upon the implementation of the 1:7 Reverse Stock Split, we intend to treat stockholders holding our shares in “street name,” through a bank, broker or other nominee, in the same manner as registered stockholder whose shares are registered in their names. Banks, brokers and other nominees will be instructed to effect the 1:7 Reverse Stock Split for their beneficial holders holding our shares in “street name.”
 
22

 
However, such banks, brokers and other nominees may have different procedures than registered stockholders for processing the 1:7 Reverse Stock Split. If you hold your shares in “street name” with a bank, broker or other nominee, and if you have any questions in this regard, we encourage you to contact your bank, broker or nominee.
Appraisal Rights
Stockholders do not have appraisal rights under Maryland law or under our Charter or Bylaws in connection with the 1:7 Reverse Stock Split.
Interests of Certain Persons in this Proposal
When you consider our Board’s recommendation to vote in favor of this Proposal 2, you should be aware that certain of our directors and officers have an interest in this proposal as a result of their ownership of shares of Common Stock. However, we do not believe that our directors and officers have interests in this proposal that are different from or greater than those of any of our other stockholders.
Text of the Proposed 1:7 Amendment to the Charter
The Proposed 1:7 Amendment in Appendix B to this Proxy Statement reflects the full text of the amendment to effect the 1:7 Reverse Stock Split, which qualifies the summary in this Proposal 2. The 1:7 Reverse Stock Split will become effective upon the filing and effectiveness of Articles of Amendment with the Maryland SDAT. Stockholders are urged to read the actual text of Appendix B. To the extent there is a conflict between this summary and the text of the Proposed 1:7 Amendment in Appendix B, the terms set forth in Appendix B govern.
Required Vote
The affirmative vote of a majority of all of the votes entitled to be cast on this Proposal 2 is required to approve Proposal 2. For purposes of the vote on this Proposal 2, abstentions and broker non-votes will be considered present for the purpose of determining the presence of a quorum. However, if you do not instruct your broker how to vote on this proposal and your broker does not vote those shares, your shares will be treated as broker non-votes. Abstentions, broker non-votes and other shares not voted will have the same effect as votes “against” this Proposal 2. Stockholders may vote “FOR,” “AGAINST,” or “ABSTAIN” with respect to this Proposal 2.
We expect this Proposal 2 will be considered a routine matter under applicable stock exchange rules. Accordingly, without specific instructions from you, your bank, broker or other nominee will have discretionary authority to vote your shares on this Proposal 2. However, we understand that certain brokerage firms have elected not to vote even on “routine” matters without your voting instructions. If your bank, broker or other nominee has made this decision, and you do not provide voting instructions, your vote will not be cast. Accordingly, we urge you to direct your bank, broker or other nominee how to vote by returning your voting materials as instructed or by obtaining a proxy from your broker or other nominee in order to vote your shares in person at the Special Meeting. Broker non-votes will have the same effect as votes “AGAINST” this Proposal 2.
THE BOARD UNANIMOUSLY RECOMMENDS THAT STOCKHOLDERS VOTE “FOR” THE APPROVAL OF THIS PROPOSAL 2.
 
23

 
Proposal 3
TO APPROVE THE AMENDMENT OF OUR CHARTER TO EFFECT THE 1:10 REVERSE STOCK SPLIT
Overview
At the Special Meeting, our stockholders will be asked to approve an amendment to our Charter to effect the 1:10 Reverse Stock Split. The 1:10 Reverse Stock Split is a consolidation of the Common Stock by a ratio of 1:10.
If the 1:10 Reverse Stock Split is approved by our stockholders, then the Company, in its discretion, may effect the 1:10 Reverse Stock Split with a ratio of 1:10 at any time prior to September 23, 2026. Our Board believes that a 1:10 Reverse Stock Split with a ratio of 1:10 is designed to maximize the anticipated benefits for the Company and its stockholders. In determining the 1:10 ratio of the 1:10 Reverse Stock Split, our Board considered, among other things, factors such as:

the historical trading price and trading volume of our Common Stock;

the then prevailing trading price and trading volume of our Common Stock and the anticipated impact of the 1:10 Reverse Stock Split on the trading market for our Common Stock;

our ability to have our Common Stock remain listed on Nasdaq, including the maintenance of the required number of shares of Common Stock registered with Nasdaq;

the anticipated impact of the 1:10 Reverse Stock Split on our ability to raise additional financing;

the potential for downward pressure on the bid price of the Common Stock caused by redemptions of Preferred Stock; and

prevailing general market and economic conditions.
If the 1:10 Reverse Stock Split is approved by our stockholders and the Company, in its sole discretion, determines to effect the 1:10 Reverse Stock Split, we will issue a press release announcing the 1:10 Effective Date (as defined below) of the 1:10 Reverse Stock Split and will file the Articles of Amendment, substantially in the form attached hereto as Appendix C (the “Proposed 1:10 Amendment”), to effect the 1:10 Reverse Stock Split. The 1:10 Reverse Stock Split will become effective upon the effective time stated in the Articles of Amendment (the “1:10 Effective Date”), after the Articles of Amendment are accepted for record by the Maryland SDAT. The 1:10 Effective Date shall be no later than September 23, 2026.
If each of Proposal 1, Proposal 2, and Proposal 3 are approved at the Special Meeting, the Company may elect, in its sole discretion, to implement only one of the approved proposals at any time prior to September 23, 2026 or to implement none of the proposals. Providing the Company with discretion to select the exchange ratio at which to effect a reverse stock split-based on one of the three ratios contemplated by the proposed amendments, rather than requiring approval of a single fixed ratio, affords the Company flexibility to respond to prevailing market conditions, achieve its objectives with the reverse stock split, and act in the best interests of the Company. If certain but not all of Proposal 1, Proposal 2, or Proposal 3 were to be approved at the Special Meeting, the Company may elect, in its sole discretion, to implement only one of the approved proposals at any time prior to September 23, 2026 or take no action with respect to such approved proposals.
Reasons for the 1:10 Reverse Stock Split
As previously reported, the Company has previously failed to comply with the Nasdaq Minimum Bid Price Rule. As previously reported, after falling out of compliance with the Nasdaq Minimum Bid Price Rule, the Company had previously been eligible for and received the Nasdaq Compliance Grace Period. The Company is no longer eligible for the Nasdaq Compliance Grace Period. As such, if the Company fails to maintain compliance with the Nasdaq Minimum Bid Price Rule at any time, then it could be immediately delisted from Nasdaq.
 
24

 
While the Company is currently in compliance with the Nasdaq Minimum Bid Price Rule, the Common Stock bid price has come under significant downward pressure since August 2024 when the Company announced its intention to redeem, and has redeemed, shares of its Preferred Stock and pay the redemption price in shares of Common Stock. Holders of the Preferred Stock have the right, at each such holder’s option, to require the Company to redeem any or all of such holder’s shares of Preferred Stock at a redemption price of $25.00 per share, plus an amount equal to all accrued but unpaid dividends, if any, to and including the redemption date, subject to the terms of such Preferred Stock set forth in the Charter. This holder redemption price may be paid in cash or in shares of Common Stock (based on the VWAP of the Common Stock for the 20 trading days immediately preceding the applicable redemption date, with each such term as defined in the Charter), at the Company’s option. Recently, the Company has chosen to pay such redemptions in shares of Common Stock in order to increase its common equity as a percentage of assets and improve its liquidity.
In addition, the Company has in the past exercised its right to redeem shares of Preferred Stock at its option (subject to the terms of the Preferred Stock set forth in the Charter) and pay the redemption price in shares of Common Stock, and the Company may do so again in the future.
We believe that the significant volume of Common Stock issued to meet redemption requests and in connection with redemptions at the Company’s option has placed significant downward pressure on the bid price of our Common Stock. If our Common Stock price declines, more shares of Common Stock are issuable under the 20-day VWAP formula, which in turn may place further downward pressure on the bid price of our Common Stock.
The proposed 1:10 Reverse Stock Split is intended to adjust the bid price of the Common Stock upward in an effort to maintain compliance with the Nasdaq Minimum Bid Price Rule. Our Board believes that the 1:10 Reverse Stock Split ratio of 1:10 is in the best interest of the Company and that such ratio will improve the price level of our Common Stock so that we are able to comply with the Nasdaq Minimum Bid Price Rule. However, we cannot assure you that after the 1:10 Reverse Stock Split the market price of our Common Stock will increase proportionately to reflect the ratio for the 1:10 Reverse Stock Split, that the market price of our Common Stock will not decrease to its pre-split level, that our market capitalization will be equal to the market capitalization before the 1:10 Reverse Stock Split or that we will be able to maintain our listing on Nasdaq.
Consequences of Not Approving this Proposal
If Proposal 3 is not approved by stockholders, it could result in material adverse consequences for the Company, including potential delisting from Nasdaq. If our Common Stock is delisted from Nasdaq, we may be forced to seek to have the Common Stock traded or quoted on the OTC Bulletin Board or in the “pink sheets.” Such alternatives are generally considered to be less efficient markets and not as broad as Nasdaq, and therefore less desirable. If the Company’s Common Stock is delisted from Nasdaq, the Company could face material adverse consequences, including:

a limited availability of market quotations for the Common Stock;

reduced liquidity;

a determination that the Common Stock is a “penny stock,” which will require brokers trading in the Company’s shares to adhere to more stringent rules, possibly resulting in a reduced level of trading activity in the secondary trading market for its securities;

a limited amount of news and analyst coverage for the Company;

a decreased ability to issue additional securities or obtain additional financing in the future;

potential need to register under applicable state securities or “blue sky” laws any Common Stock that is elected by the Company to be issued to redeem Preferred Stock in lieu of cash when the cash required is not available; and

if registration under applicable state securities or “blue sky” laws is not able to be accomplished in a particular state and the cash required for such redemption is not available, there may not be an ability to redeem Preferred Stock when all other criteria for redemption have been met.
 
25

 
Despite the efforts described above, there can be no assurance that the Company will ultimately maintain compliance with the Nasdaq Minimum Bid Price Rule.
Potential Adverse Effects of Approving this Proposal
We cannot assure you that the 1:10 Reverse Stock Split, if effected, will increase our stock price and have the desired effect of maintaining compliance with the Nasdaq Minimum Bid Price Rule.
The Board expects that the 1:10 Reverse Stock Split, if effected, will increase the market price of our Common Stock so that we are able to maintain compliance with the Nasdaq Minimum Bid Price Rule. However, the effect of the 1:10 Reverse Stock Split on the market price of our Common Stock cannot be predicted with any certainty, and the history of similar reverse stock splits for companies in like circumstances is varied.
It is possible that the per share price of our Common Stock after the implementation of the 1:10 Reverse Stock Split will not rise in proportion to the reduction in the number of shares of Common Stock outstanding resulting therefrom, and the market price per share after the 1:10 Reverse Stock Split may not exceed or remain in excess of $1.00 per share for a sustained period of time. Even if we effect the 1:10 Reverse Stock Split, the market price of our Common Stock may decrease due to factors unrelated to the 1:10 Reverse Stock Split, including our future financial and operating performance. If the 1:10 Reverse Stock Split is consummated and the trading price of our Common Stock declines, the percentage decline as an absolute number and as a percentage of our overall market capitalization may be greater than would occur in the absence of the 1:10 Reverse Stock Split.
The implementation of the 1:10 Reverse Stock Split may decrease the liquidity of our Common Stock.
The liquidity of our Common Stock may be harmed by the implementation of the 1:10 Reverse Stock Split, given the reduced number of shares of Common Stock that would be outstanding after the 1:10 Reverse Stock Split, particularly if the share price does not increase as a result thereof. In addition, investors might consider the increased proportion of unissued authorized capital stock to issued shares of capital stock resulting from the 1:10 Reverse Stock Split to have an anti-takeover effect under certain circumstances, because the proportion allows for dilutive issuances which could prevent certain stockholders from changing the composition of the Board or render tender offers for a combination with another entity more difficult to successfully complete. The Board does not intend for the 1:10 Reverse Stock Split to have any anti-takeover effects.
Principal Effects of the 1:10 Reverse Stock Split
Common Stock and Preferred Stock.
If the 1:10 Reverse Stock Split is approved by our stockholders at the Special Meeting and the Company, in its sole discretion, determines to effect the 1:10 Reverse Stock Split, the Company plans to issue a press release announcing the 1:10 Effective Date of the 1:10 Reverse Stock Split and will file Articles of Amendment with the Maryland SDAT substantially in the form of the Proposed 1:10 Amendment attached hereto as Appendix C to effect the 1:10 Reverse Stock Split no later than September 23, 2026. Except for adjustments that may result from the treatment of fractional shares as described below, each issued share of Common Stock immediately prior to the 1:10 Effective Date will automatically be changed, as of the 1:10 Effective Date, into a fraction of a share based on the 1:10 ratio. In addition, proportional adjustments will be made to the maximum number of shares issuable under, and other terms of, our Company’s equity incentive plan.
Except for adjustments that may result from the treatment of fractional shares of Common Stock, as described below, because the 1:10 Reverse Stock Split would apply to all issued shares of Common Stock, the implementation of the 1:10 Reverse Stock Split would not alter the relative rights and preferences of our existing stockholders nor affect any stockholder’s proportionate equity interest in the Company. For example, a holder of approximately two percent (2%) of the voting power of the outstanding Common Stock immediately prior to the effectiveness of the 1:10 Reverse Stock Split will generally continue to hold
 
26

 
approximately two percent (2%) of the voting power of the outstanding Common Stock immediately thereafter. Moreover, the number of stockholders of record of our Common Stock will not be affected by the 1:10 Reverse Stock Split.
The Proposed 1:10 Amendment, if adopted, will not change the terms of our Common Stock or Preferred Stock. Upon effectiveness of the 1:10 Reverse Stock Split, the shares of Common Stock will have the same voting rights and rights to dividends and other distributions and will be identical in all other respects to the Common Stock now authorized. Following the 1:10 Reverse Stock Split, the Common Stock will remain fully paid and non-assessable.
Upon the effectiveness of the 1:10 Reverse Stock Split, the par value of our Common Stock will increase proportionately to the 1:10 ratio of the 1:10 Reverse Stock Split. However, the Board will exercise its right under Section 2-605(a)(2) of the MGCL to thereafter immediately reduce the resulting par value of the post-split Common Stock so that it will remain at $0.001 per share.
Effects on the Number of Authorized Shares.
The total number of shares of capital stock that we are authorized to issue will not be affected by the 1:10 Reverse Stock Split and will remain at one billion (1,000,000,000) shares of stock, consisting of nine hundred million (900,000,000) shares of Common Stock and one hundred million (100,000,000) shares of Preferred Stock. Although the number of authorized shares of capital stock will not change as a result of the 1:10 Reverse Stock Split, the number of shares of Common Stock issued and outstanding will be reduced in proportion to the 1:10 ratio of the 1:10 Reverse Stock Split. Thus, the 1:10 Reverse Stock Split will effectively increase the number of authorized and unissued shares of Common Stock available for future issuance by the amount of the reduction effected by the 1:10 Reverse Stock Split. The relative increase in the amount of authorized and unissued shares of Common Stock will allow for the ability to issue additional shares in connection with future financings, equity incentive plans and other desirable corporate activities without requiring our stockholders to approve an increase in the authorized number of shares of capital stock each time any such an action is contemplated. If the 1:10 Reverse Stock Split is implemented, all or any of the authorized and unissued shares of Common Stock may be issued in the future for such corporate purposes and such consideration as our Board deems advisable from time to time, subject to any limitations in our Charter, without further action by our stockholders and without first offering such shares to our stockholders.
Because our stockholders have no preemptive rights to purchase or subscribe for any of our unissued Common Stock, the future issuance of additional shares of Common Stock will reduce our current stockholders’ percentage ownership interest in the total outstanding shares of Common Stock. In the absence of a proportionate increase in our future earnings and book value, an increase in the number of outstanding shares of Common Stock would dilute our projected future earnings per share, if any, and book value per share of all our outstanding shares of Common Stock. If these factors were reflected in the market price of our Common Stock, the potential realizable value of a stockholder’s investment could be adversely affected. An issuance of additional shares could therefore have an adverse effect on the potential realizable value of a stockholder’s investment.
Listing.
Our Common Stock currently trades on Nasdaq. The implementation of the 1:10 Reverse Stock Split will directly affect the listing of our Common Stock on Nasdaq, and we believe that the 1:10 Reverse Stock Split could potentially increase our share price, facilitating compliance with the Nasdaq Minimum Bid Price Rule. Following the 1:10 Reverse Stock Split, we intend for our Common Stock to continue to be listed on Nasdaq under the symbol “CMCT,” subject to our ability to continue to comply with Nasdaq’s rules, although our Common Stock would have a new committee on uniform securities identification procedures number, a number used to identify our Common Stock.
“Public Company” Status.
Our Common Stock is currently registered under Section 12(b) of the Exchange Act, and we are subject to the “public company” periodic reporting and other requirements of the Exchange Act. The proposed 1:10 Reverse Stock Split will not affect our status as a public company or this registration under
 
27

 
the Exchange Act. The 1:10 Reverse Stock Split is not intended to have the effect of a “going private transaction” covered by Rule 13e-3 under the Exchange Act.
Odd Lot Transactions.
It is likely that some of our stockholders will own “odd-lots” of less than 100 shares of Common Stock following the 1:10 Reverse Stock Split. A purchase or sale of less than 100 shares of Common Stock (an “odd lot” transaction) may result in incrementally higher trading costs through certain brokers, particularly “full service” brokers, and generally may be more difficult than a “round lot” sale. Therefore, those stockholders who own less than 100 shares following the 1:10 Reverse Stock Split may be required to pay somewhat higher transaction costs and may experience some difficulties or delays should they then determine to sell their shares.
Possible Anti-Takeover Effects.
If stockholders approve the 1:10 Reverse Stock Split and the Board implements the 1:10 Reverse Stock Split, the 1:10 Reverse Stock Split could have anti-takeover effects because it would result in a proportional increase in the number of authorized shares of capital stock relative to the number of shares of capital stock outstanding after effecting the 1:10 Reverse Stock Split. A relative increase in the number of our authorized shares of capital stock could enable the Board to render more difficult or discourage an attempt by a party attempting to obtain control of the Company by tender offer or other means.
The issuance of capital stock in a public or private sale, merger or similar transaction would increase the number of outstanding shares of capital stock entitled to vote, increase the number of votes required to approve a change of control of the Company, and dilute the interest of a party attempting to obtain control of the Company. Any such issuance could deprive stockholders of benefits that could result from an attempt to obtain control of the Company, such as the realization of a premium over the market price that the attempt could cause. Moreover, the issuance of capital stock to persons friendly to the Board could make it more difficult to remove incumbent officers and directors from office even if the change were favorable to stockholders generally. However, this anti-takeover effect is not the purpose or intent of our Board. We have no present intent to use the relative increase in the number of authorized but unissued shares of capital stock for anti-takeover purposes. The Board has no present intent to authorize the issuance of additional shares of capital stock to discourage efforts to obtain control of the Company if they were to arise.
Fractional Shares
No fractional shares of Common Stock will be issued in connection with a 1:10 Reverse Stock Split; rather, stockholders who would have otherwise been issued a fractional share of Common Stock as a result of a 1:10 Reverse Stock Split will instead receive a cash payment in lieu of such fractional share in an amount equal to the product of the fraction of a share multiplied by the closing price of the Common Stock as reported by the Nasdaq Stock Market on the 1:10 Effective Date.
U.S. Federal Income Tax Consequences
The following summary describes certain material United States federal income tax consequences of the 1:10 Reverse Stock Split to holders of our Common Stock. This summary is based on the income tax provisions of the Code, United States Treasury regulations promulgated thereunder, administrative rulings and judicial authority, all as in effect as of the date hereof. Subsequent developments in United States federal income tax law, including changes in law or differing interpretations, which may be applied retroactively, could result in the United States federal income tax consequences of the 1:10 Reverse Stock Split differing from those discussed below.
This summary does not address all of the United States federal income tax consequences that may be relevant to holders of our Common Stock in light of their particular circumstances or to holders that may be subject to special tax rules, including, without limitation, banks, insurance companies, thrift institutions, other financial institutions, regulated investment companies, real estate investment trusts, personal holding companies, foreign entities, nonresident alien individuals, broker-dealers, S corporations, partnerships or other pass-through entities, tax-exempt organizations, United States expatriates, holders liable for the alternative minimum tax, traders in securities that elect to use a mark-to-market method of accounting, dealers in
 
28

 
securities or currencies, holders of our Common Stock whose functional currency is not the U.S. dollar, holders that hold our Common Stock as part of a position in a “straddle” or as part of a “hedging,” “conversion” or other integrated investment transaction for federal income tax purposes, persons who acquire shares of our Common Stock in connection with employment or other performance of services, holders who actually or constructively hold more than ten percent (10%) of our Common Stock, or persons that do not hold our Common Stock as “capital assets” as defined in the Code (generally, property held for investment). If a partnership (or other entity classified as a partnership for United States federal income tax purposes) is the beneficial owner of our Common Stock, the United States federal income tax treatment of a partner in the partnership will generally depend on the status of the partner and the activities of the partnership. Partnerships that hold our Common Stock, and partners in such partnerships, should consult their own tax advisors regarding the United States federal income tax consequences of the 1:10 Reverse Stock Split.
This summary does not address tax considerations under state, local, non-U.S., and non-income tax laws. Furthermore, no ruling or tax opinion of legal or tax counsel has been obtained with respect to the consequences of the 1:10 Reverse Stock Split.
TAX MATTERS ARE COMPLICATED, AND THE TAX CONSEQUENCES OF THE 1:10 REVERSE STOCK SPLIT DEPEND UPON THE PARTICULAR CIRCUMSTANCES OF EACH STOCKHOLDER. ACCORDINGLY, EACH STOCKHOLDER SHOULD CONSULT ITS OWN TAX ADVISOR REGARDING THE UNITED STATES FEDERAL, STATE, LOCAL, AND FOREIGN INCOME AND OTHER TAX CONSEQUENCES OF THE 1:10 REVERSE STOCK SPLIT.
For purposes of this discussion, a “U.S. holder” is a beneficial owner of Common Stock that is, for U.S. federal income tax purposes:

an individual citizen or resident of the United States;

a corporation (or any other entity taxable as a corporation for U.S. federal income tax purposes) created or organized in or under the laws of the United States, any state thereof or the District of Columbia;

an estate, whose income is subject to U.S. federal income tax regardless of its source; or

a trust (i) the administration of which is subject to the primary supervision of a U.S. court and that has one or more United States persons that have the authority to control all substantial decisions of the trust or (ii) that has made a valid election under applicable Treasury Regulations to be treated as a domestic trust.
A “non-U.S. holder” is, for U.S. federal income tax purposes, a beneficial owner of Common Stock that is a not a U.S. holder or a partnership for U.S. federal income tax purposes.
Tax Consequences of the 1:10 Reverse Stock Split
The 1:10 Reverse Stock Split should constitute a “recapitalization” for U.S. Federal income tax purposes. Except as described below with respect to cash received in lieu of a fractional share, U.S. holders should not recognize gain or loss as a result of the 1:10 Reverse Stock Split. A U.S. holder’s aggregate tax basis in the shares of the Common Stock received pursuant to a 1:10 Reverse Stock Split should equal the U.S. holder’s aggregate tax basis in the shares of the Common Stock surrendered (excluding any portion of such basis that is allocated to any fractional share of Common Stock), and such U.S. holder’s holding period in the shares of the Common Stock received should include the holding period of the shares of the Common Stock surrendered. Treasury regulations promulgated under the Code provide detailed rules for allocating the tax basis and holding period of shares of Common Stock surrendered pursuant to the 1:10 Reverse Stock Split to shares of Common Stock received pursuant to the 1:10 Reverse Stock Split. U.S. holders holding shares of Common Stock that were acquired on different dates and at different prices should consult their tax advisors regarding the allocation of the tax basis and holding period of such shares.
The receipt of cash in lieu of fractional shares of Common Stock pursuant to the 1:10 Reverse Stock Split will be a taxable transaction for U.S. Federal income tax purposes. A U.S. holder who receives cash in exchange for a fractional share will generally recognize gain or loss for U.S. Federal income tax purposes equal
 
29

 
to the difference, if any, between the amount of cash received in lieu of the fractional share and the portion of the U.S. holder’s adjusted tax basis allocated to the fractional share exchanged.
Non-U.S. Holders
Subject to the discussion of backup withholding below, non-U.S. holders generally will not be subject to United States federal income or withholding tax on any gain or loss as a result of the 1:10 Reverse Stock Split, including with respect to cash received in lieu of a fractional share of Common Stock provided that (a) such gain or loss is not effectively connected with the conduct of a trade or business by such non-U.S. holder in the United States (or, if certain income tax treaties apply, is not attributable to a non-U.S. holder’s permanent establishment in the United States), (b) with respect to a non-U.S. holder who is an individual, such non-U.S. holder is present in the United States for less than 183 days in the taxable year of the 1:10 Reverse Stock Split and other conditions are met, and (c) such non-U.S. holder complies with certain certification requirements. If such gain is effectively connected with the non-U.S. holder’s conduct of a trade or business in the U.S., and if an applicable income tax treaty so provides, the gain is attributable to a permanent establishment or fixed base maintained by the non-U.S. holder in the United States, the non-U.S. holder will be taxed on a net income basis at the regular tax rates and in the manner applicable to U.S. holders, and if the non-U.S. holder is a corporation, an additional branch profits tax at a rate of 30%, or a lower rate as may be specified by an applicable income tax treaty, may also apply. If the non-U.S. holder is an individual present in the United States for 183 days or more in the taxable year of the 1:10 Reverse Stock Split and certain other requirements are met, the non-U.S. holder will be subject to a 30% tax (or such lower rate as may be specified by an applicable income tax treaty between the United States and such holder’s country of residence) on the net gain from the exchange of the shares of our Common Stock, which may be offset by certain U.S.-source capital losses of the non-U.S. holder, if any.
Information Reporting and Backup Withholding
Cash payments received by a holder of Common Stock pursuant to the 1:10 Reverse Stock Split may be subject to information reporting and may also be subject to backup withholding at the applicable rate specified by the U.S. Internal Revenue Service (currently 24%) if the holder fails to comply with certain certification procedures or otherwise establish an exemption from backup withholding. Backup withholding is not an additional U.S. Federal income tax. Rather, the U.S. Federal income tax liability of the person subject to backup withholding will be reduced by the amount of the tax withheld. If backup withholding results in an overpayment of taxes, a refund may be obtained provided that the required information is timely furnished to the U.S. Internal Revenue Service.
Accounting Consequences
Following the 1:10 Effective Date of the 1:10 Reverse Stock Split, if any, the net income or loss and net book value per share will be increased because there will be fewer shares outstanding. We do not anticipate that any other accounting consequences would arise as a result of the 1:10 Reverse Stock Split.
Exchange of Shares
Shares held in Book-Entry Form
The Company’s registered stockholders may hold some or all of their shares electronically in book-entry form with our transfer agent and are provided with a statement reflecting the number of shares registered in their accounts.

If you hold registered shares in book-entry form, you do not need to take any action to receive shares in registered book-entry form after the effectiveness of the 1:10 Reverse Stock Split.

A transaction statement will automatically be sent to your address of record by our transfer agent as soon as practicable after the 1:10 Effective Date indicating the number of shares that you hold.
Shares held in “Street Name”
Upon the implementation of the 1:10 Reverse Stock Split, we intend to treat stockholders holding our shares in “street name,” through a bank, broker or other nominee, in the same manner as registered
 
30

 
stockholder whose shares are registered in their names. Banks, brokers and other nominees will be instructed to effect the 1:10 Reverse Stock Split for their beneficial holders holding our shares in “street name.” However, such banks, brokers and other nominees may have different procedures than registered stockholders for processing the 1:10 Reverse Stock Split. If you hold your shares in “street name” with a bank, broker or other nominee, and if you have any questions in this regard, we encourage you to contact your bank, broker or nominee.
Appraisal Rights
Stockholders do not have appraisal rights under Maryland law or under our Charter or Bylaws in connection with the 1:10 Reverse Stock Split.
Interests of Certain Persons in this Proposal
When you consider our Board’s recommendation to vote in favor of this Proposal 3, you should be aware that certain of our directors and officers have an interest in this proposal as a result of their ownership of shares of Common Stock. However, we do not believe that our directors and officers have interests in this proposal that are different from or greater than those of any of our other stockholders.
Text of the Proposed 1:10 Amendment to the Charter
The Proposed 1:10 Amendment in Appendix C to this Proxy Statement reflects the full text of the amendment to effect the 1:10 Reverse Stock Split, which qualifies the summary in this Proposal 3. The 1:10 Reverse Stock Split will become effective upon the filing and effectiveness of Articles of Amendment with the Maryland SDAT. Stockholders are urged to read the actual text of Appendix C. To the extent there is a conflict between this summary and the text of the Proposed 1:10 Amendment in Appendix C, the terms set forth in Appendix C govern.
Required Vote
The affirmative vote of a majority of all of the votes entitled to be cast on this Proposal 3 is required to approve Proposal 3. For purposes of the vote on this Proposal 3, abstentions and broker non-votes will be considered present for the purpose of determining the presence of a quorum. However, if you do not instruct your broker how to vote on this proposal and your broker does not vote those shares, your shares will be treated as broker non-votes. Abstentions, broker non-votes and other shares not voted will have the same effect as votes “against” this Proposal 3. Stockholders may vote “FOR,” “AGAINST,” or “ABSTAIN” with respect to this Proposal 3.
We expect this Proposal 3 will be considered a routine matter under applicable stock exchange rules. Accordingly, without specific instructions from you, your bank, broker or other nominee will have discretionary authority to vote your shares on this Proposal 3. However, we understand that certain brokerage firms have elected not to vote even on “routine” matters without your voting instructions. If your bank, broker or other nominee has made this decision, and you do not provide voting instructions, your vote will not be cast. Accordingly, we urge you to direct your bank, broker or other nominee how to vote by returning your voting materials as instructed or by obtaining a proxy from your broker or other nominee in order to vote your shares in person at the Special Meeting. Broker non-votes will have the same effect as votes “AGAINST” this Proposal 3.
THE BOARD UNANIMOUSLY RECOMMENDS THAT STOCKHOLDERS VOTE “FOR” THE APPROVAL OF THIS PROPOSAL 3.
 
31

 
Proposal 4
ADJOURNMENTS OF THE SPECIAL MEETING IF NECESSARY OR ADVISABLE TO SOLICIT ADDITIONAL PROXIES
Stockholders are being asked to grant authority to the proxy holders to vote in favor of one or more adjournments of the Special Meeting, if necessary, to solicit additional proxies if there are insufficient votes at the time of the Special Meeting to approve Proposal 1, Proposal 2 or Proposal 3. If this Proposal 4 is approved, the Special Meeting could be adjourned one or more times to a future date. If the meeting is adjourned to solicit additional proxies, stockholders who have already submitted their proxies will be able to revoke them at any time prior to their use.
Separately, pursuant to the Bylaws, if less than a majority of the outstanding shares entitled to vote are represented at the Special Meeting, the chair of the Special Meeting may adjourn the Special Meeting without further notice. If a quorum is present or represented at the reconvened Special Meeting following such an adjournment, any business may be transacted that might have been transacted at the Special Meeting as originally called. The Company also retains full authority to the extent permissible under Maryland law to adjourn the Special Meeting, or to delay or postpone the Special Meeting before it is convened, with or without the consent of any stockholders.
To the extent that any adjournment occurs, whether under this Proposal 4 or otherwise, the Company will be entitled to use the Record Date as the date for determining the stockholders entitled to vote at the Special Meeting as long as the Special Meeting is held within 120 days after the Record Date pursuant to the Bylaws.
Required Vote
The affirmative vote of a majority of the votes cast at the Special Meeting at which a quorum is present is required to approve Proposal 4. For purposes of the vote on this Proposal 4, abstentions and broker non-votes will be considered present for the purpose of determining the presence of a quorum. However, if you do not instruct your broker how to vote on this proposal and your broker does not vote those shares, your shares will be treated as broker non-votes. Abstentions, broker non-votes and other shares not voted will have no effect on the result of this Proposal 4. Stockholders may vote “FOR,” “AGAINST,” or “ABSTAIN” with respect to this Proposal 4.
We expect this Proposal 4 will be considered a routine matter under applicable stock exchange rules. Accordingly, without specific instructions from you, your bank, broker or other nominee will have discretionary authority to vote your shares on this Proposal 4. However, we understand that certain brokerage firms have elected not to vote even on “routine” matters without your voting instructions. If your bank, broker or other nominee has made this decision, and you do not provide voting instructions, your vote will not be cast. Accordingly, we urge you to direct your bank, broker or other nominee how to vote by returning your voting materials as instructed or by obtaining a proxy from your broker or other nominee in order to vote your shares in person at the Special Meeting. Broker non-votes will not count as votes entitled to vote on this Proposal 4, and thus will have no effect on the outcome of the vote.
THE BOARD UNANIMOUSLY RECOMMENDS THAT STOCKHOLDERS VOTE “FOR” THE APPROVAL OF THIS PROPOSAL 4.
 
32

 
Security Ownership of Certain Beneficial Owners and Management and Related
Stockholder Matters
Directors and Executive Officers
The following table sets forth information regarding the beneficial ownership of our Common Stock, Series A Preferred Stock and Series A1 Preferred Stock as of the Record Date by (1) each named executive officer, (2) each current director and (3) all executive officers and directors as a group. In each case, the percent of class owned reflects the number of shares of Common Stock outstanding as of the Record Date. As of the date of this Proxy Statement, no named executive officer or director of the Company owned any Series D Preferred Stock.
Common Stock
Series A
Preferred Stock
Series A1
Preferred Stock
Name of Beneficial Owner
No. of Shares
Percent of
Class
No. of
Shares
Percent of
Class
No. of
Shares
Percent of
Class
David Thompson
[102] *
Barry N. Berlin
[113] *
Richard Ressler
[49,908](1)(2) [6.3]% [568,681] [14.1]% [36,663] [0.4]%
Avraham Shemesh
[49,593](1)(3) [6.3]% [568,681] [14.1]% [36,663] [0.4]%
Shaul Kuba
[49,953](1)(3) [6.3]% [568,681] [14.1]% [36,663] [0.4]%
Douglas Bech
[8,993] [1.1]%
Marcie Edwards
[8,877] [1.1]%
John Hope Bryant
[8,819] [1.1]%
Elaine Wong
[8,850] [1.1]%
Directors and Executive Officers as a group (9 persons)
[86,032] [10.9]%
*
Less than 1%.
(1)
[CIM Group, LLC is the indirect sole equity member of each of CIM Urban Sponsor, LLC, CIM CMCT MLP, LLC, CIM Capital Real Property Management, LLC. and CIM Capital IC Management, LLC. CIM Capital IC Management, LLC is the investment adviser of CIM Real Assets & Credit Fund. Because of their positions with CIM Group, LLC, Shaul Kuba, Richard Ressler and Avraham Shemesh, the founders of CIM Group, may be deemed to beneficially own the [37,414] shares of Common Stock and [568,681] shares of Series A Preferred Stock owned directly by CIM CMCT MLP, LLC, the [1,930] shares of Common Stock owned directly by CIM Urban Sponsor, LLC, the [1,584] shares of Common Stock directly owned by CIM Real Assets & Credit Fund and the [8,480] and [36,663] shares of Common Stock and Series A1 Preferred Stock, respectively, owned directly by CIM Capital Real Property Management, LLC. Messrs. Ressler, Shemesh and Kuba have shared voting and investment power over all of these shares. Each of Messrs. Ressler, Shemesh and Kuba disclaims beneficial ownership of all of these shares except to the extent of his pecuniary interest therein.
(2)
Mr. Ressler has sole voting and investment power over [500] shares of Common Stock held by a subsidiary of a trust formed by Mr. Ressler for the benefit of his family members.
(3)
Each of Messrs. Shemesh and Kuba have shared voting and investment power over [185] shares of Common Stock held by each of their respective family trusts, with respect to which they were grantors.]
Beneficial Owners of More than 5% of our Common Stock
The following table sets forth certain information regarding the beneficial ownership of our Common Stock, Series A Preferred Stock and Series A1 Preferred Stock based on filings with the SEC as of the Record Date by each person known by us to beneficially own more than 5% of our Common Stock. In each case, the percent of class owned reflects the number of shares of Common Stock outstanding as of the Record Date.
 
33

 
Common Stock
Series A
Preferred Stock
Series A1
Preferred Stock
Name and Address of Beneficial Owner
No. of Shares
Percent of
Class
No. of
Shares
Percent of
Class
No. of Shares
Percent of
Class
Richard Ressler(1)
[49,908](2) [6.3]% [568,681] [14.1]% [36,663] [0.4]%
Avraham Shemesh(1)
[49,593](3) [6.3]% [568,681] [14.1]% [36,663] [0.4]%
Shaul Kuba(1)
[49,593](3) [6.3]% [568,681] [14.1]% [36,663] [0.4]%
(1)
[The business address of Messrs. Ressler, Shemesh and Kuba, for the purposes hereof, is c/o CIM Group, LLC, 4700 Wilshire Boulevard, Los Angeles, California 90010. CIM Group, LLC is the indirect sole equity member of each of CIM Urban Sponsor, LLC, CIM CMCT MLP, LLC, CIM Capital Real Property Management, LLC and CIM Capital IC Management, LLC. CIM Capital IC Management, LLC is the investment adviser of CIM Real Assets & Credit Fund. Because of their positions with CIM Group, LLC, Shaul Kuba, Richard Ressler and Avraham Shemesh, the founders of CIM Group, may be deemed to beneficially own the [37,414] shares of Common Stock and [568,681] shares of Series A Preferred Stock owned directly by CIM CMCT MLP, LLC, the [1,930] shares of Common Stock owned directly by CIM Urban Sponsor, LLC, the [1,584] shares of Common Stock directly owned by CIM Real Assets & Credit Fund and the [8,480] and [36,663] shares of Common Stock and Series A1 Preferred Stock, respectively, owned directly by CIM Capital Real Property Management, LLC. Messrs. Ressler, Shemesh and Kuba have shared voting and investment power over all of these shares. Each of Messrs. Ressler, Shemesh and Kuba disclaims beneficial ownership of all of these shares except to the extent of his pecuniary interest therein.
(2)
Mr. Ressler has sole voting and investment power over [500] shares of Common Stock held by a subsidiary of a trust formed by Mr. Ressler for the benefit of his family members.
(3)
Each of Messrs. Shemesh and Kuba have shared voting and investment power over [185] shares of Common Stock held by each of their respective family trusts, with respect to which they were grantors.]
MISCELLANEOUS
Other Matters
Pursuant to the Bylaws and the MGCL, only the matters set forth in the Notice of Special Meeting may be brought before the Special Meeting.
Householding of Proxy Materials
The SEC has adopted rules that permit companies and intermediaries (for example, brokers) to satisfy the delivery requirements for proxy statements and annual reports with respect to two or more stockholders sharing the same address by delivering a single proxy statement addressed to those stockholders. A number of brokers with account holders who are stockholders of the Company “household” the Company’s proxy materials in this manner. If you are an affected stockholder and no longer wish to participate in householding, or if you are receiving multiple copies of the Proxy Materials and the Notice of Special Meeting of Stockholders and wish to receive only one, please notify your broker, if your shares are held in a brokerage account, or our transfer agent, Computershare Trust Company, N.A. at 150 Royall Street, Suite 101, Canton, MA 02021 or (866) 242-1266 if you are the record holder of your shares.
Additionally, we will deliver promptly to any affected stockholder an additional copy of the Proxy Materials or the Notice of Special Meeting of Stockholders, as applicable, upon a written or oral request made to the Stockholder Relations Department of the Company at 5956 Sherry Lane, Suite 700, Dallas, Texas 75225 or (972) 349-3200.
 
34

 
FORWARD-LOOKING STATEMENTS
This Proxy Statement contains certain forward-looking statements within the meaning of Section 27A of the Securities Act of 1933, as amended, and Section 21E of the Exchange Act which are intended to be covered by the safe harbors created thereby. These statements include the plans and objectives of management for future operations, including plans and objectives relating to future growth of our business and availability of funds. Such forward-looking statements can be identified by the use of forward-looking terminology such as “may,” “will,” “project,” “target,” “expect,” “intend,” “might,” “believe,” “anticipate,” “estimate,” “could,” “would,” “continue,” “pursue,” “potential,” “forecast,” “seek,” “plan,” “should” or “goal” or the negative thereof or other variations or similar words or phrases. Such forward-looking statements also include, among others, statements about our plans and objectives relating to future growth and outlook. Such forward-looking statements are based on particular assumptions that our management has made in light of its experience, as well as its perception of expected future developments and other factors that it believes are appropriate under the circumstances. Forward-looking statements are necessarily estimates reflecting the judgment of our management and involve a number of risks and uncertainties that could cause actual results to differ materially from those suggested by the forward-looking statements. These risks and uncertainties include those associated with (i) the timing, form, and operational effects of our development activities, (ii) our ability to raise in place rents to existing market rents and to maintain or increase occupancy levels, (iii) fluctuations in market rents, (iv) the effects of inflation and continuing higher interest rates on our operations and profitability, and (v) general economic, market and other conditions, including the effects of high unemployment rates, continued or renewed inflation and any recession or slowdown in economic growth. Additional important factors that could cause our actual results to differ materially from our expectations are discussed in “Item 1A — Risk Factors” of our Annual Reports on Form 10-K and in “Item 1A — Risk Factors” of our Quarterly on Form 10-Q. The forward-looking statements included herein are based on current expectations and there can be no assurance that these expectations will be attained. Assumptions relating to the foregoing involve judgments with respect to, among other things, future economic, competitive and market conditions and future business decisions, all of which are difficult or impossible to predict accurately and many of which are beyond our control. Although we believe that the assumptions underlying the forward-looking statements are reasonable, any of the assumptions could be inaccurate and, therefore, there can be no assurance that the forward-looking statements expressed or implied in this Proxy Statement will prove to be accurate. In light of the significant uncertainties inherent in the forward-looking statements expressed or implied herein, the inclusion of such information should not be regarded as a representation by us or any other person that our objectives and plans will be achieved. Readers are cautioned not to place undue reliance on forward-looking statements. Forward-looking statements speak only as of the date they are made. We do not undertake to update them to reflect changes that occur after the date they are made, except as may be required by applicable laws.
 
35

 
APPENDIX A
CREATIVE MEDIA & COMMUNITY TRUST CORPORATION
ARTICLES OF AMENDMENT — 1:4 REVERSE STOCK SPLIT
THIS IS TO CERTIFY THAT:
FIRST:   The charter (the “Charter”) of Creative Media & Community Trust Corporation, a Maryland corporation (the “Corporation”), is hereby amended to provide that, immediately upon the Effective Time (as defined below), every 4 shares of common stock, $0.001 par value per share, of the Corporation which were issued and outstanding immediately prior to the Effective Time shall be combined into one issued and outstanding share of common stock, $0.04 par value per share (the “Common Stock”), of the Corporation. Upon the Effective Time, no fractional shares of Common Stock of the Corporation will be or remain issued and each stockholder otherwise entitled to a fractional share shall be entitled to receive in lieu thereof cash in an amount equal to the product of the fraction of a share multiplied by the closing price of the Common Stock as reported by the Nasdaq Stock Market on the date of the Effective Time.
SECOND:   The amendment to the Charter as set forth above has been duly advised by the Board of Directors and approved by the stockholders of the Corporation as required by law.
THIRD:   There has been no increase in the authorized shares of stock of the Corporation effected by the amendment to the Charter as set forth above.
FOURTH:   These Articles of Amendment shall become effective at [           ], ET on [       ], 202[ ] (the “Effective Time”).
FIFTH:   The undersigned acknowledges these Articles of Amendment to be the corporate act of the Corporation and as to all matters or facts required to be verified under oath, the undersigned acknowledges that to the best of his knowledge, information and belief, these matters and facts are true in all material respects and that this statement is made under the penalties for perjury.
[SIGNATURE PAGE FOLLOWS]
 
A-1

 
IN WITNESS WHEREOF, the Corporation has caused these Articles of Amendment to be signed in its name and on its behalf by its [                 ] and attested to by its [                 ] on this [   ] day of [                 ], 202[ ].
ATTEST: CREATIVE MEDIA & COMMUNITY Trust
Corporation
By:   (SEAL)
Name:
[                 ]
Name: [                 ]
Title:
[                 ]
Title:  [                 ]
 
A-2

 
APPENDIX B
CREATIVE MEDIA & COMMUNITY TRUST CORPORATION
ARTICLES OF AMENDMENT — 1:7 REVERSE STOCK SPLIT
THIS IS TO CERTIFY THAT:
FIRST:   The charter (the “Charter”) of Creative Media & Community Trust Corporation, a Maryland corporation (the “Corporation”), is hereby amended to provide that, immediately upon the Effective Time (as defined below), every 7 shares of common stock, $0.001 par value per share, of the Corporation which were issued and outstanding immediately prior to the Effective Time shall be combined into one issued and outstanding share of common stock, $0.07 par value per share (the “Common Stock”), of the Corporation. Upon the Effective Time, no fractional shares of Common Stock of the Corporation will be or remain issued and each stockholder otherwise entitled to a fractional share shall be entitled to receive in lieu thereof cash in an amount equal to the product of the fraction of a share multiplied by the closing price of the Common Stock as reported by the Nasdaq Stock Market on the date of the Effective Time.
SECOND:   The amendment to the Charter as set forth above has been duly advised by the Board of Directors and approved by the stockholders of the Corporation as required by law.
THIRD:   There has been no increase in the authorized shares of stock of the Corporation effected by the amendment to the Charter as set forth above.
FOURTH:   These Articles of Amendment shall become effective at [      ], ET on [             ], 202[ ] (the “Effective Time”).
FIFTH:   The undersigned acknowledges these Articles of Amendment to be the corporate act of the Corporation and as to all matters or facts required to be verified under oath, the undersigned acknowledges that to the best of his knowledge, information and belief, these matters and facts are true in all material respects and that this statement is made under the penalties for perjury.
[SIGNATURE PAGE FOLLOWS]
 
B-1

 
IN WITNESS WHEREOF, the Corporation has caused these Articles of Amendment to be signed in its name and on its behalf by its [                 ] and attested to by its [                 ] on this [        ] day of [                 ], 202[ ].
ATTEST: CREATIVE MEDIA & COMMUNITY Trust
Corporation
By:   (SEAL)
Name:
[                 ]
Name: [                 ]
Title:
[                 ]
Title:  [                 ]
 
B-2

 
APPENDIX C
CREATIVE MEDIA & COMMUNITY TRUST CORPORATION
ARTICLES OF AMENDMENT — 1:10 REVERSE STOCK SPLIT
THIS IS TO CERTIFY THAT:
FIRST:   The charter (the “Charter”) of Creative Media & Community Trust Corporation, a Maryland corporation (the “Corporation”), is hereby amended to provide that, immediately upon the Effective Time (as defined below), every 10 shares of common stock, $0.001 par value per share, of the Corporation which were issued and outstanding immediately prior to the Effective Time shall be combined into one issued and outstanding share of common stock, $0.010 par value per share (the “Common Stock”), of the Corporation. Upon the Effective Time, no fractional shares of Common Stock of the Corporation will be or remain issued and each stockholder otherwise entitled to a fractional share shall be entitled to receive in lieu thereof cash in an amount equal to the product of the fraction of a share multiplied by the closing price of the Common Stock as reported by the Nasdaq Stock Market on the date of the Effective Time.
SECOND:   The amendment to the Charter as set forth above has been duly advised by the Board of Directors and approved by the stockholders of the Corporation as required by law.
THIRD:   There has been no increase in the authorized shares of stock of the Corporation effected by the amendment to the Charter as set forth above.
FOURTH:   These Articles of Amendment shall become effective at [      ], ET on [           ], 202[ ] (the “Effective Time”).
FIFTH:   The undersigned acknowledges these Articles of Amendment to be the corporate act of the Corporation and as to all matters or facts required to be verified under oath, the undersigned acknowledges that to the best of his knowledge, information and belief, these matters and facts are true in all material respects and that this statement is made under the penalties for perjury.
[SIGNATURE PAGE FOLLOWS]
 
C-1

 
IN WITNESS WHEREOF, the Corporation has caused these Articles of Amendment to be signed in its name and on its behalf by its [                 ] and attested to by its [                 ] on this [   ] day of [                 ], 202[ ].
ATTEST: CREATIVE MEDIA & COMMUNITY Trust
Corporation
By:    (SEAL)
Name:
[                 ]
Name: [                 ]
Title:
[                 ]
Title:  [                 ]
 
C-2

[MISSING IMAGE: px_25cmctproxy1pg01-bw.jpg]
Signature [PLEASE SIGN WITHIN BOX] Date Signature (Joint Owners) DateTO VOTE, MARK BLOCKS BELOW IN BLUE OR BLACK INK AS FOLLOWS:KEEP THIS PORTION FOR YOUR RECORDSTHIS PROXY CARD IS VALID ONLY WHEN SIGNED AND DATED. DETACH AND RETURN THIS PORTION ONLYV78868-S20571For Against Abstain! ! !! ! !! ! !! ! !CREATIVE MEDIA & COMMUNITY TRUST CORPORATION5956 SHERRY LANE, SUITE 700DALLAS, TX 75225VOTE BY INTERNETBefore The Meeting - Go to www.proxyvote.com or scan the QR Barcode aboveUse the Internet to transmit your voting instructions and for electronic delivery ofinformation up until 11:59 p.m. Eastern Time on September 22, 2025. Have your proxycard in hand when you access the web site and follow the instructions to obtain yourrecords and to create an electronic voting instruction form.During The Meeting - Go to www.virtualshareholdermeeting.com/CMCT2025SM2You may attend the meeting via the Internet and vote during the meeting. Have theinformation that is printed in the box marked by the arrow available and follow theinstructions.VOTE BY PHONE - 1-800-690-6903Use any touch-tone telephone to transmit your voting instructions up until 11:59 p.m.Eastern Time on September 22, 2025. Have your proxy card in hand when you calland
then follow the instructions.VOTE BY MAILMark, sign and date your proxy card and return it in the postage-paid envelope we haveprovided or return it to Vote Processing, c/o Broadridge, 51 Mercedes Way, Edgewood,NY 11717, such that it is received by 11:59 p.m. Eastern Time on September 22, 2025.CREATIVE MEDIA & COMMUNITY TRUST CORPORATIONThe Board of Directors recommends you vote “FOR”:1. The amendment of the Company’s charter (the “Charter”) to effect a reverse stock split of the Company’s common stock, par value$0.001 per share (the “Common Stock”), by a ratio of 1:4 at any time prior to September 23, 2026;2. The amendment of the Company’s Charter to effect a reverse stock split of the Common Stock by a ratio of 1:7 at any time prior toSeptember 23, 2026;3. The amendment of the Company’s Charter to effect a reverse stock split of the Common Stock by a ratio of 1:10 at any time priorto September 23, 2026; and4. The adjournment of the Special Meeting one or more times to solicit additional proxies if there are insufficient votes at the time ofthe meeting to approve Proposal 1, Proposal 2 or Proposal 3.Please sign exactly as your name(s) appear(s) hereon. When signing as attorney,executor, administrator, or other fiduciary, please give full title as such. Joint ownersshould each sign personally. All holders must sign. If a corporation or partnership,please sign in full corporate or partnership name by authorized officer.SCAN TOVIEW MATERIALS & VOTE wV78869-S20571Continued and to be signed on reverse side

[MISSING IMAGE: px_25cmctproxy1pg02-bw.jpg]
Important Notice Regarding the Availability of Proxy Materials for the Special Meeting:The Notice of Special Meeting of Stockholders and Proxy Statement are available at www.proxyvote.com.CREATIVE MEDIA & COMMUNITY TRUST CORPORATIONSPECIAL MEETING OF STOCKHOLDERSSEPTEMBER 23, 2025 AT 9:00 A.M. PACIFIC TIMETHIS PROXY IS SOLICITED ON BEHALF OF THE BOARD OF DIRECTORSThe undersigned stockholder of Creative Media & Community Trust Corporation, a Maryland corporation (the “Company”), hereby appoints David Thompson and Barry Berlin, or either of them, with power of substitution, as proxy andattorney-in-fact and hereby authorizes them to represent and vote, as designated on the reverse side, all the shares of Common Stock, which the undersigned is entitled to vote, and, in their discretion, to vote upon such other business as may properly come before the Special Meeting of Stockholders of the Company to be held virtually atwww.virtualshareholdermeeting.com/CMCT2025SM2.This proxy, when properly executed, will be voted in the manner directed herein. If no such direction is made, this proxy will be voted in accordance with the Board of Directors' recommendations.